7.4.2 卷积的性质

7.4.2 卷积的性质

卷积满足

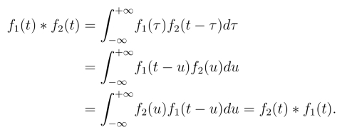
(1)交换律:f1(t)*f2(t)=f2(t)*f1(t);

(2)结合律:[f1(t)*f2(t)]*f3(t)=f1(t)*[f2(t)*f3(t)];

(3)分配律:f1(t)*[f2(t)+f3(t)]=f1(t)*f2(t)+f1(t)*f3(t).(https://www.daowen.com)

下面只证(1)交换律

证明 令u=t-τ,则

图示