7.4.3 卷积定理

7.4.3 卷积定理

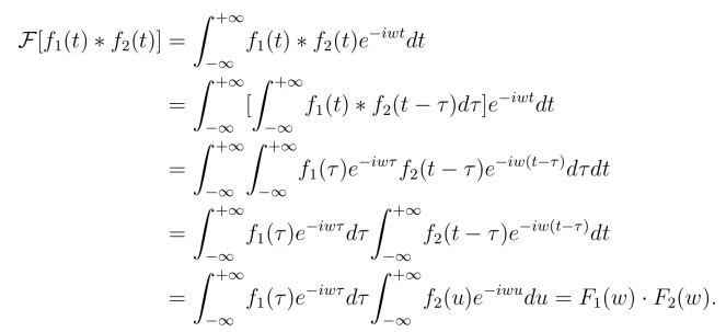
设f1(t)与f2(t)都满足傅氏积分定理中的条件,且

图示

F[f1(t)*f2(t)]=F1(w)·F2(w),

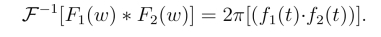
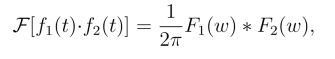
F-1[F1(w)·F2(w)]=f1(t)*f2(t).(https://www.daowen.com)

证明 令u=t-τ,则

图示

类似可得

图示

图示