导文网
搜索
首页>
图书频道>
理学>
数学物理化学
8.5.4 用拉氏变换解某些微分积分方程
2025年09月26日
版权
8.5.4 用拉氏变换解某些微分积分方程
例6 求y
′
-4y+
满足y(0)=0的特解.
解 设
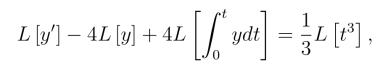
方程两边取拉氏变换,得
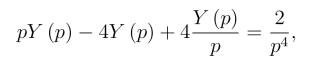
利用拉氏变换的微分性质,积分性质,得
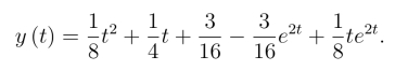
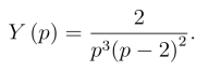
解得象函数
取拉氏逆变换,得原方程的解
上一章
下一章
目录