导文网
搜索
首页>
图书频道>
理学>
数学物理化学
8.5.3 用拉氏变换解某些积分方程
2026年01月14日
版权
8.5.3 用拉氏变换解某些积分方程
例5 解积分方程y(t)=sin t-
解 设
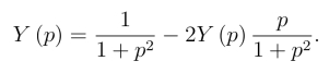
方程两边取拉氏变换,得
由卷积定理,得到象的方程(https://www.daowen.com)
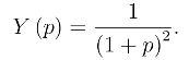
解得象函数
取拉氏逆变换得到方程的解
上一章
下一章
目录