8.5.2 用拉氏变换解线性微分方程组

8.5.2 用拉氏变换解线性微分方程组

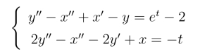
例4 求方程组

图示

满足初始条件

图示

的解.

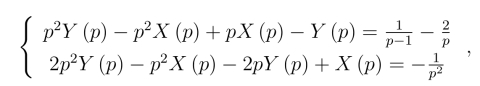
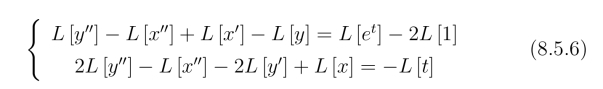
解 设L[y(t)] = Y (p),L[x(t)] = X(p).方程组两边取拉氏变换,得

图示

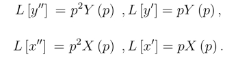
由拉氏变换微分性质及初始条件,有

图示(https://www.daowen.com)

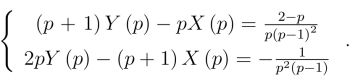
把它们代入(8.5.6)得到

图示

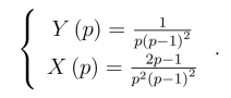
图示解此代数方程组,得

图示

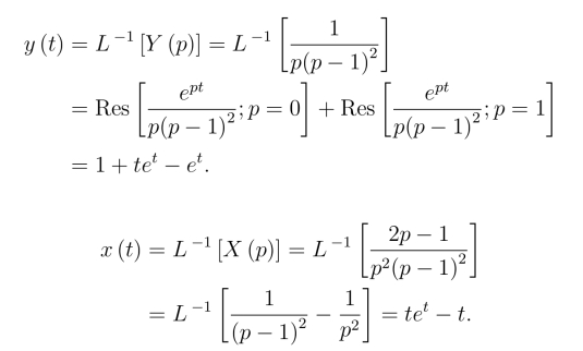
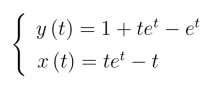
取拉氏逆变换,得

图示

故此线性微分方程组的解为

图示