参考答案
习题一
1.B;2.D;3.A;4.D;5.B;6.D;7.A;8.B;9.A;10.A;
11.以i为顶点,与正实轴成角度
的角形域的内部;
12.
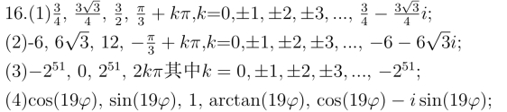
+kπ,k =0,±1,±2,±3,...;
13.4n-1![]()
14.![]()
15.z =![]()

![]()
18.n=4k,k =0,±1,±2,±3,...
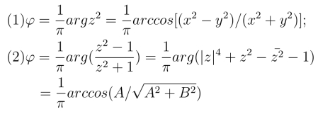
19.(1)一个点;(3)双曲线y =
在第一象限的一支;(4)直线y =3;
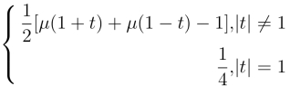
21.提示:利用三角形三顶点都在圆上.
22.提示:利用圆周的一般方程.
习题二
1.B; 2.C; 3.D; 4.C; 5.C;
6.2kπ+
,k =0,±1,±2,···
7.±i
8.1,-3,-3
9.零与负实轴
10.2sinzcosz
11.f′(z)=-i
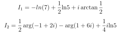
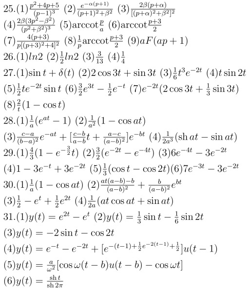
12.ln5-iarcctan
+(2k+1)πi,k =0,±1,±2,···
13.![]()
14.抛物线:v2 =-4(u-1),0 ≤u ≤1
15.(1)圆:
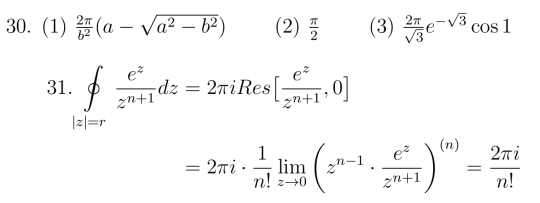
;(2)圆:
;(3)直线:v =-u;(4)直线:![]()
16.(1)w1 =-i,w2 =-2+2i,w3 =8i;(2)0 <argw <π
17.(1)在Rez =
可导,处处不解析;(2)在C处处可导、处处解析;
(3)在C\{-1,1}上处处可导、处处解析;(4)在C上处处可导、处处解析.
18.极点:-2、-2、-1、1
19.(1)在C上解析,f′(z) = cosz +3i; (2)在
上解析,f′(z) =
(3) 只在0 处可导,导数为0,处处不解析; (4) 只在-i处可导,导数为-2,处处不解析;(5)在直线y =x上可导,导数为2x(1-i),在C上处处不解析.
20.提示:用C-R条件
23.(1)-ei;(2)
;(3)sin1cosh1+icos1sinh1;(4)
0,±1,±2,···;(5)ln5+iarctan
0,±1,±2,···.24.(1)(2k+1)πi,k =0,±1,±2,···;(2)(k-
)π,k =0,±1,±2,···;(3)i;(4)kπi,k =0,±1,±2,···.
习题三
1.(1)4πi;(2)8πi.
2.(1)1;(2)2;(3)2.
3.![]()
4.![]()
7.不一定,如f(z)=
沿圆周|z|=1 的积分为0,而z0 =0在|z|=1 的内部.
8.被积函数在|z|≤1上解析
9.当r >|z0|时,2πi;r <|z0|,其积分值为零
10.被积函数在1 ≤|z|≤2上解析
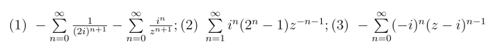
11.(1)2πi; (2)4πi; (3)0; (4)4πi; (5)-2πi
13.e-1-1
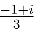
14.(1)-
(2)i sinh 1; (3)-2; (4)π-
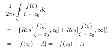
从所给起点到终点的积分路径在整个复平面都是任意的
15.0
16.提示:考虑被积函数的奇点和原函数,这两个原函数在右半平面上解析,该平面是为单连通域,

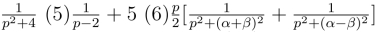
17.(1)![]()
18.z0在C1内部,I =z20; (2)z0在C2内部,I =sin z0;I =0,其他
19.0,当|α|>1;πeαi,当|α|<1
25.(1)f(z) = z3 +i; (2)f(z) = z2; (3)f(z) = zez; (4)f(z) = (1-i)z3;(5)f(z)= ![]()
26.不一定.
27.提示:用3.5节定理1和C-R方程,以及拉普拉斯方程。
习题四
1.由定理1或2,其结论显然成立.
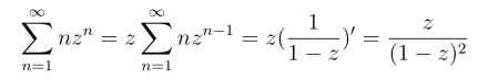
2.如调和级数![]()
3.(1) i (2) |zn|→0 (3)zn →∞,发散 (4)发散
4.(1) 通项的模|αn|→1(n →∞),发散(2) 绝对收敛(3) 发散(4) 绝对收敛
5.不能
6.和函数在收敛圆域|z-z0|<R内解析,其积分与路径无关.当积分下限是该圆内其他某一定点z1 时,该式的右端还需减去常数c=
很麻烦.
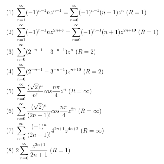
7.(1)z0 = 0,R = 1;(2)z0 = -i,R = 2;(3)z0 = i,R =
;(4)z0 = 0,R =1;(5)z0 =-2i,R=∞;(6)z0 =0,R=1.
8.提示:用定理2或定理3.
9.f(z)的奇点为z =1和2,z0 =i到奇点的最短距离为R=|i-1|=![]()
10.f(z)的泰勒级数展开式是对应复变函数f(z)只在实轴上取值的特殊情形,而z =±i为f(z)的奇点,由本节定理,f(z) 在z0 =0 的泰勒级数的收敛半径R=1.
11.同本节例6.
12.

13.

14.不矛盾,f(z)的洛朗级数展开式的惟一性是对给定的某个环域而言,其条件是f(z)在该环域内解析.
15.环域有0 <|z-i|<1,1 <|z-i|<2,2 <|z-i|<3,3 <|z-i|<∞
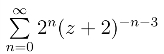
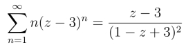
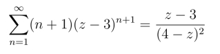
16.

17.(1)
;(2)
18.所给每个函数都在环域0 <|z| <∞内解析,该环域既是点z0 = 0的去心邻域,又是点∞的邻域.
![]()
19.

20.(1)收敛;极限为0; (2)发散; (3)收敛,极限为0.
21.(1)原级数收敛,但非绝对收敛; (2)原级数收敛,但非绝对收敛;(3)原级数收敛,且为绝对收敛; (4)原级数发散.
22.(1)不正确.幂级数
收敛圆为|z| = 1,当z = -1时,级数收敛,当z =1时,级数发散.
(2)不正确.根据幂级数的性质,其在收敛圆内不可能有奇点.
(3)不正确.f(z)=
在z0连续,但不解析,不能在z0点展开成泰勒级数.
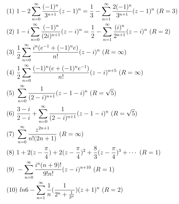
23.(1)
(2)
2(4)∞
24.收敛半径R=1,收敛圆|z-3|=1,利用

有

和函数

25.提示:|(Recn)zn|<|cn||z|n
28.f(z)=
z|<∞,c 为任意常数.
29.f(z)=
(-1)n(n+1)zn,|z|<1.
30.
奇点为z = 0 与zk =
,(k = 0,±1,±2,···),当k →∞时,zk →0.因此不存在一个去心领域0 <|z| <k 使得
在其内解析,所以不可能在0 <|z|<R 内把tan1 z 展开成洛朗级数.
31.2πi
习题五
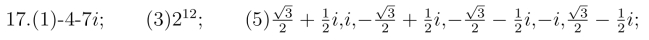
1.(1) z =0,一级极点; z =±i,二级极点;
(2) zk =kπ(k =0,±1,±2,···),一级极点;
(3) z =0,二级极点; zk =2kπi(k =±1,±2,···),一级极点;
(4) z =0,可去奇点;
(5) z =±i,二级极点; zk =(2k+1)πi(k =1,±2,···),一级极点;
(6) zk =
(k =0,1,2,···n-1),一级极点;
z =±i,二级极点;
(7) z =1,二级极点; z =-1,一级极点;
(8) z =1,本性奇点;
(9) z =0,二级极点;
一级极点
3.(1) 当m
n时,z0为极点,级为max(m,n); 当m = n时,z0 为极点,它的级≤m,也可能是可去奇点;
(2) z0为m+n级极点;
(3) 当m
n时,若m >n,则z0为m-n级极点; 若m <n,当定义
= 0时,z0为n-m级零点.当m=n时,z0 为可去奇点
4.不对.因为f(z)在z = 1处的去心邻域应为0 <|z-1| <1,应在此邻域内将f(z) 展成洛朗级数.
5.(1) z =0,三级极点; z =∞,可去奇点
(2) z =0,可去奇点; z =∞,本性奇点
(3) z =1,二级极点; z =∞,三级极点
6.(1) Res[f(z),0]=0
(2) Res[f(z),0]=![]()
(3) Res[f(z),1]=![]()
(4) Res[f(z),kπ+
,(k =0,±1,±2,···)
(5) Res[f(z),0]=0;Res[f(z),kπ]=(-1)k(
),(k =±1,±2,···)
(6) Res[f(z),0]=![]()
(7) Res[f(z),1]=0
(8) Res[f(z),i]=![]()
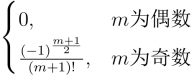
(9)当n为奇数时,Res[f(z),0]=0; 当n=2k为偶数时,Res[f(z),0]=![]()
7.(1) 0 (2) 2πi (3) 4πi (4) 4πe2i (5) -4πi(6) 当m ≥3且为奇数时,积分等于(-1)
当m 为其他整数时,积分等于0
8.(1) -sinh 1 (2) 0
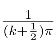
9.(1) 2πi (2)
(3) 当n
1 时,积分等于0; 当n=1 时,积分等于2πi

12.![]()
13.![]()
14.![]()
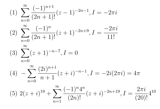
15.(1)
; (2)
; (3)
; (4) πe-1 cos 2; (5)![]()
17.(1) 2πi;(2) 2πi ;(3) 0.(https://www.daowen.com)
18.4个
22.(1) z =0,一级极点,z =±i,三级极点;
(2) z =0,可去奇点;
(3) z =1,本性奇点;
(4) z =±i,二级极点,zk =(2k+1)i(k =1,±2,···),一级极点;
(5) z =0,三级极点,zk =2kπi(k =±1,±2,···),一级极点;
(6) z =0,二级极点,
均为一级极点.
23.(1)Res[f(z),0]=![]()
(2) Res[f(z),0]=0
![]()
(3)Res[f(z),0]=
24.(1) Res[f(z),1]= 
Res[f(z),-1]= 
Res[f(z),∞]=-{Res[f(z),-1]+Res[f(z),1]}=
=-cosh 1
(2) Res[f(z),∞]=![]()
![]()
25.Res[f(z),2]+=-Res[f(z),∞]=1
26.(1)![]()
(2) ![]()
(3) 当m >2且为偶数时,积分等于零; 当m >2且为奇数时,积分等于(-1)![]()
27.(1) 2πi(2) ![]()
28.πe-2(cos 2+i sin 2) 29.![]()

在C :|z|=r上,令z =reiθ,由

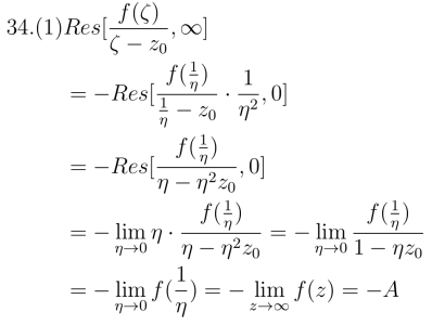
可证得.

从而(1)z0 ∈D,则

(2) z0 /∈D,则
=-(-A)=A
35.提示: 令f(z)=(z-z0)nφ(z),计算被积函数在z0点处的留数.
36.提示: 令f(z)=
计算被积函数在z0 点处的留数.
37.因为a是f(z)的n级极点,所以f(z) =
于是
又由于g(z) = (z-a)nf(z) =
因此g(n-1)(a)=(n-1)!c-1,c-1 =
即![]()
习题六
1.(1)伸缩率2,转动角π/2; (2)伸缩率1,转动角π; (3)伸缩率e,转动角1.
2.Γ1 :Reω =3;Γ2 :Imω =4
3.转动角
设z = x+iy,伸缩率|f′(z)| =
当|f′(z)| <1,即(x+1)2 +y2 <
时缩小,反之放大.所以,在以z = -1 为中心,半径为
的圆内缩小,圆外放大.
4.(1)|ω-1|>1,Reω >0 (2)|ω-i/2|<1/2,Reω >0
5.ω =i/z;|ω|>1
6.ω =ela(z-z0)/(z+z0)(Rez0 >0,0 ≤a <2π)
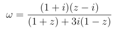
7.(1)ω =i(2z-1)/(z-2) (2)ω =i(2z-1)/(z-2) (3)ω =(z-i)/(z+i)(4)ω =-i(z-i)/(z+i) (5)ω =-(z+1)/(2z)
8.略
9.所给区域可表示为2a <Argz <2a+2π,ω =
的单值解析分支为ω1 =e-2laz和ω2 =e[ln(-ω1)+πl]/2与ω =elaω2 的复合映射ω =e[ln|z|+lArgz]/2
10.ω =![]()
11.ω =![]()
12.ω =
(h为任意正实数)
13.ω =H[ln(eπz/H -eπa/H)]/π
14*.提示ω = coshz可分解为ω1 = ez和ω = (ω1+1/ω1)/2的复合映射;ω =sinhz 可分解为ω1 =iez和ω =-i(ω1+1/ω1)/2的复合映射.
(1)Imω >0(2)Imω <0(3)Imω <0
(4)Imω >0(5)Reω >0(6)Reω <0
(7)Imω <0(8)Imω >0
15.ω =2z3/2
16.ω =2z(z+1+lnz)
17.ω =![]()
18.

其中A=(x2+y2)2-1,B =4xy
19.伸缩率:|ω′(i)|=2;转动角:Argω′(i)=
ω平面上虚轴的正向.
20.在导数不等于零的条件下具有伸缩率和旋转角的不变性;映射ω =z2在z =0 处不具有伸缩率和旋转角的不变性.
21.略22.略23.略24.略
25.(1)ω =![]()
(2)ω =![]()
(3)ω =![]()
26.(1)ω ![]()
(2)ω = ![]()
(3)ω = ![]()
(4)![]()
27.把单位圆|z|<1映射成ω平面上的下半平面:

28.ω =
其中Rea >0,θ为任意实数.
29.ω =![]()
30.z =coshω
习题七
1.D2.D3.D4.A5.B6.C7.B8.A9.D
10.B
11.![]()
12.![]()
13.e-atμ(t)
14.f(t)=![]()
15.![]()
16.![]()
17.eiω+2πδ(ω+1)
18.![]()
19.2πδ(ω)
20.![]()
21.e-t = ![]()
22.g(ω)=
23.略
24.![]()
25.f(t)=![]()
26.![]()
27.f(t)=
28.(1)e-ieω![]()
29.F(ω)= ![]()
30.-F(ω)-ωF′(ω)
31.![]()
32.![]()
33.略34.略
习题八
1.B 2.A 3.C 4.A 5.C 6.B 7.D 8.A 9.B 10.D
11.![]()
12.![]()
13.cos 3t+![]()
14.![]()
15.![]()
16.tet
17.![]()
18.-F′′′(p-5)
19.![]()
20.![]()
21.![]()
22.
(4)![]()
23.(1)
(4)![]()
24.(1)eu(t-5) (2)(1+t+t2)u(t-1) (3)2u(t-1)-u(t-2)

32.(1)

(2)

(3)

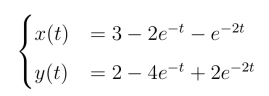
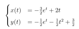
33.(1)y(t)=(1-t)e-t
(2)y(t)=sin t
(3)y(t)=sin t
(4)y(t)=a(t+![]()
34.略
35.略
习题九
1.略
2.略
3.略
4.略