2.4 相似变换
2026年01月14日
2.4 相似变换
这一小节,考虑一般的情况,首先基于一个相似变换,将变系数(2+1)非线性薛定谔方程约化成稳态的立方非线性薛定谔方程
![]()
这里U=U(ξ)和ξ=ξ(x,y,t) 是实函数,E表示该方程的特征值,而G是常数。为了得到(2.23)和(2.1)之间的关系,用下面的相似变换[77-79]
![]()
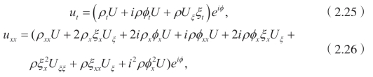
将(2.24)代入(2.1),可以得到


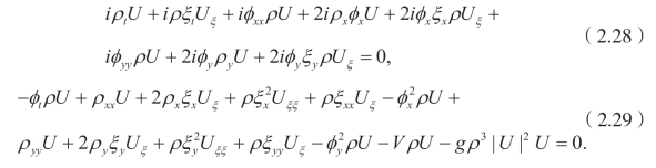
将它们代入(2.1),并且分离实部和虚部,得到

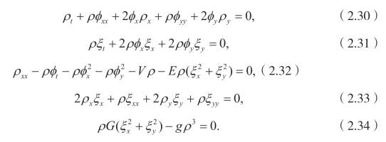
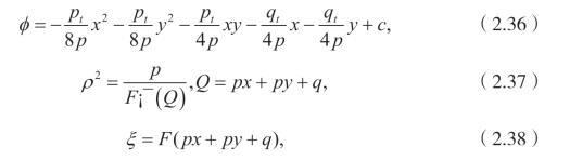
令 U 以及不同的导数项系数等于零,可以得到

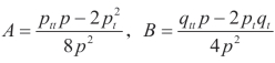
求解(2.32)和(2.34),得到

考虑剩下的其他的方程,可以得

这里 p,q和 c 是t的任意函数。
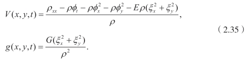
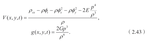
这样一来,选择合适的函数p(t),q(t),F(px+py+q),就可以得到g(t,x,y),V(t,x,y)。自然而然地可以得到许多有趣的结果。
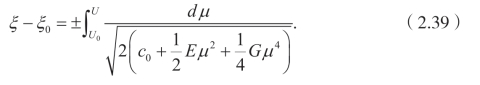
因为(2.23)有大量的解,得到

这里ξ0 和 c0 是积分常数。因此,可以得到(2.1)的精确解:
![]()
这里(https://www.daowen.com)

和

此外,

很明显(2.23)有一个亮孤立子解,

这里 E=−κ2 和G=−2κ2,并且有一个暗孤立子解,

其中E,G 是正数。
下一小节,考虑不同的非线性G 和势函数V(t,x,y)。
例子
首先,选择ρ(x,y,t)=
,对于这种情况,可以得到 g(x,y,t)=2G 和ξ=F(Q)=Q=p(x+y)+q。因此有

这里
。选择不同的p,q 和c 可以得到大量的解。
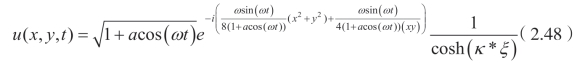
现在,令
![]()
这里
和 ω ∈R。此时(2.40)是关于t的三角函数,所以它们是呼吸孤立波解。这样,可以得到(2.1)的解

和
