3.1.5 势方程的约化和相似解
2026年01月14日
3.1.5 势方程的约化和相似解
这一小节,考虑势方程(3.16)的不变解以及约化。考虑下述情况
情况1.X1.对于这种情况,得到不变量是 ξ=t,得到平凡解 v=c1。
情况2.X2.对于此种情况,得到不变量是ξ=x,而且可以得到下述方程
![]()
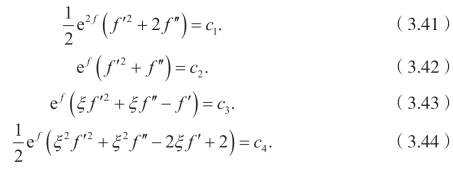
对于该方程,得到积分因子
![]()
这里C1,C2,C3和C4是任意常数。
这样一来,(3.39)可以转化成下面的情况:

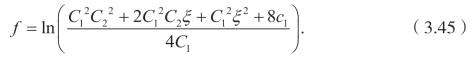
求解(3.41),得到

将(3.45)代入(3.42),(3.43),(3.44),可以得到

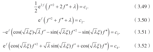
情况3.λX1+X2.对于线性组合,不变量是ξ=x−λt,不变函数 f(ξ),可以得到下面的方程
![]()
对于这种情况,可以得到下面的积分因子
![]()
这里C1,C2,C3,C4是任意常数。(https://www.daowen.com)
于是有下面的式子:

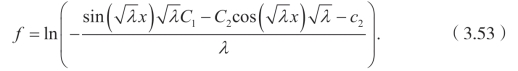
求解(3.49),得到

将(3.53)代入(3.50),(3.51)和(3.52),可以得到

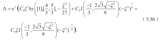
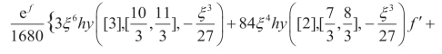
情况4.X4.对于这种情况,不变量和不变函数分别是
和 f(ξ),并且得到下述方程

用相似的步骤,可以得到积分因子

因此,有


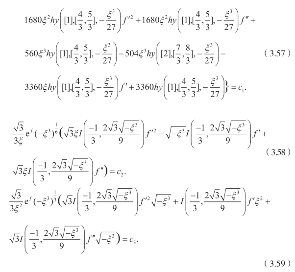
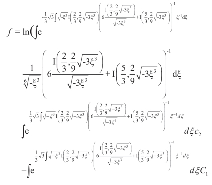
求解(3.58),可以得到


这里 I 是第一类 Bessel 函数,而hy 是超越函数。