3.1.6 守恒律
这一小节,利用前面提到的乘子方法或者直接方法去处理STO 方程(3.6)、势方程(3.16)以及线性化后的三阶线性偏微分方程(6.32)的守恒律。
3.1.6.1 STO 方程的守恒律
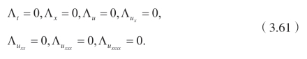
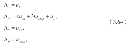
利用乘子方法的步骤,首先将方程写成守恒的形式 DxTx+DtTt=0。对于四阶乘子,有

求解,得到

因此有

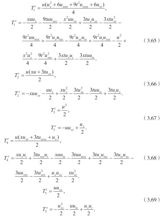
3.1.6.2 势方程(3.16)的守恒律
依然是对于四阶乘子,有


对于不同的Λ,有


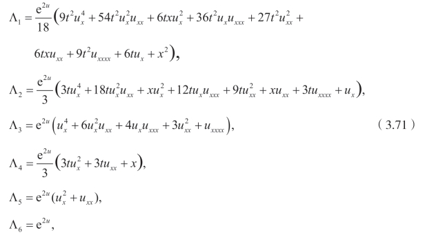
3.1.6.3 线性三阶偏微分方程(6.32)的守恒律
因为是线性方程,所以含有无数个守恒律,再次利用乘子方法的步骤,依然仅考虑四阶乘子,可以得到

那么可以得到相应的守恒律,参见文献[98]。