3.3.2 经典对称、非经典对称、势对称和精确解
这一小节,利用经典对称、非经典对称去处理n=2时的情形。
3.3.2.1 经典对称分析
考虑李对称分析方法,可以得到
![]()
这里c1,c2和c3任意常数。所以可以得到相应的向量场

3.3.2.2 非经典对称分析
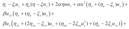
前面一小节,考虑了经典对称分析,这一小节,利用非经典李对称分析处理五阶KdV 方程。需要考虑另外的不变曲面条件
![]()
这样一来,可以得到
![]()
不失一般性,考虑下面两种情况:(i)τ=1;(ii)τ=0,ξ=1。
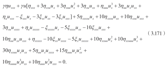
1.τ=1。从不变曲面条件(3.168),可以得到
![]()
将 ut用 η−ξ ux来代替,可以得到


解这些方程,可以得到

这里C1和C2是任意常数。可以得到下面的“非经典对称”:

显而易见,V4=V3+C1V2+C2V1,依然是经典对称。因此可以说,这个方程在这种条件下,并没有非经典对称。
2.τ=0,ξ=1。如前所述,此时
![]()
解超定方程组,可以得到
![]()
也就是说,对于这种情况,并不存在额外的非经典对称。换而言之,从非经典的角度,得不到新的精确解。
3.3.2.3 势对称分析
假定(3.152)可以写成守恒律的形式
![]()
则可以得到下面的系统S(x,t,u,v)=0

利用经典李对称分析方法,可以得到系数函数如下:
![]()
可以发现该方程并不存在势对称。
3.3.2.4 n=2时,优化系统、对称约化和群不变解
前面的小节,从经典对称、非经典对称、势对称研究了n=2时的情形。现在基于优化系统,去推导一些群不变解。
3.3.2.5 一维子代数的优化系统(https://www.daowen.com)
为了得到优化系统,考虑伴随表示
![]()
这里∊是非零常数,[Vi,Vj]由下面的式子确定
![]()
可以得到一个优化系统
![]()
3.3.2.6 对称约化
这一小节,基于优化系统,对方程进行约化。
(1)V1.对于算子V1,可以得到群不变解是 u=f(ξ),并且ξ=t是群不变量。这种情况只有平凡解 u(x,t)=C。
(2)V2+λV1。对于线性组合V2+λV1,得到群不变解是
![]()
这里群不变量是ξ=x−λt。将(3.182)代入(3.168),可以得到下面的常微分方程
![]()
如果β=γ2,每一项乘以f,并且积分一次,可以得到

这里k是积分常数。
(3)V3.对于 V3,可以得到
![]()
将(3.185)代入(3.168),可以得到
![]()
3.3.2.7 通过幂级数方法求群不变解
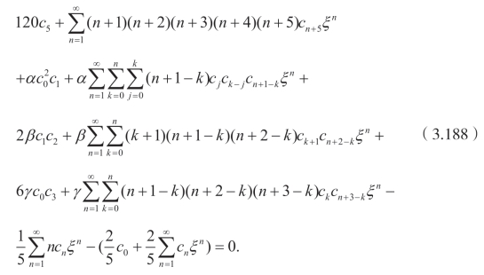
假定(3.183)有下列形式的解

将(3.187)代入(3.183),得到

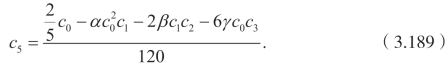
当n=0时,比较系数可以得到

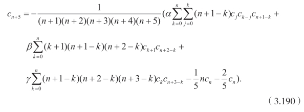
对于一般的情况,若n≥1,可以得到

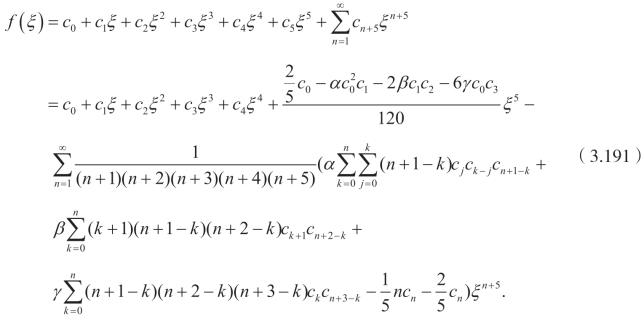
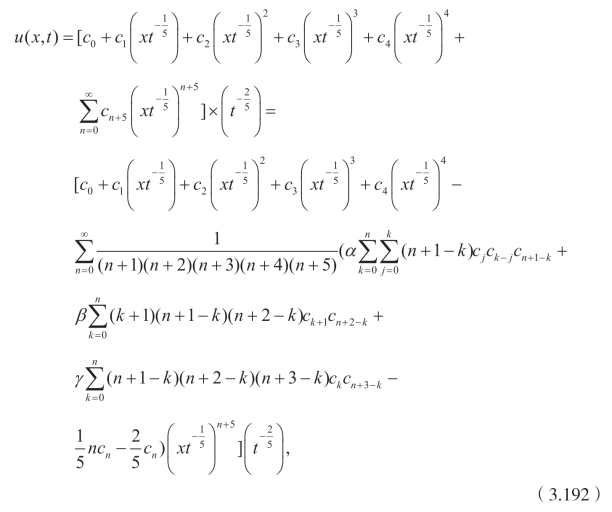
这样一来,级数解可以写成下面的形式

因此,有

这里ci(i=1,2,3,4)是任意常数。
注记 其他的约化方程用类似的方法也可以得到级数解,不再一一列出。
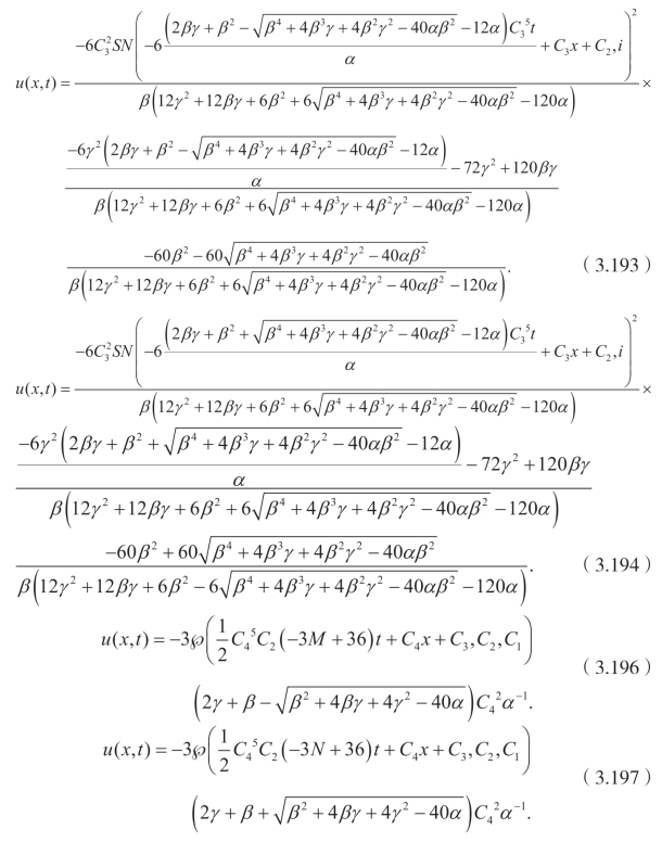
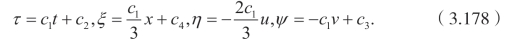
此外,利用Maple 软件可以得到雅克比函数和Weierstrass 椭圆函数解:
