3.3.4 守恒律
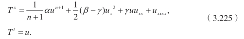
这一小节,利用乘子方法去处理守恒律。首先给出一些基本的定义。如前所述,假定方程可以写成守恒律形式 DxTx+DtTt=0。前面已经得到相应的向量场 X1=∂t和X2=∂x。对于特殊的情况n=2,我们得到额外的标量对称X3=x∂x+5t∂t−2u∂u。对于一般的情况,我们仅有乘子Q=1,即守恒向量

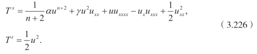
特殊情况,如果β=γ2,可以得到乘子Q=u,于是守恒向量为

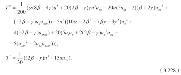
对于n=2,满足下述条件

我们得到一个额外的二阶乘子Q=
((2β−γ)u2+10uxx),和额外的非平凡守恒向量

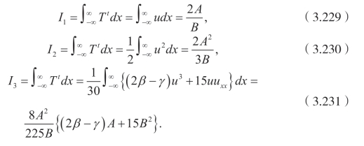
同时注意到,X3作用到 Q满足X3Q=−4Q.对于任意的解u(x,t),如果 u 及其导数项在x→±∞时收敛,则利用
得到守恒量。
从前面得到的孤立波解,当δ=1时,可以得到如下守恒量
