3.3.3 孤立子解
为了得到孤立子解,将方程成重写下列的形式:
![]()
下面将给出四种不同类型的解,在下一小节将一一列出。
3.3.3.1 孤立波解
为了得到孤立波解,首先假设
![]()
这里
![]()
其中A 是孤立子的振幅,p>0是待定参数。利用齐次平衡原理可以得到,B表示孤立子的逆宽,v是波速。将(3.198)代入(3.197)可以得到

根据齐次平衡原理,将最高阶导数项和最高阶非线性项平衡,(n+1) p+1和 p+5相等,可以得到

注意到,从2p+3 和p+5,或者 2p+1 和p+3,这两种情况都可以得到:
![]()
因此,从(3.201)和(3.202)可以得到
![]()
(3.200)化成

令线性独立项 sechjτ(j=3,5,7)的系数等于零,可以得到

因此要求
![]()
并且满足
![]()
于是,(3.197)的孤立波解由下式给出
![]()
这里波速 v 由(3.205)确定,振幅A 由(3.206)给出。(3.208)和(3.207)这些条件保证了解的存在。
3.3.3.2 激波
为了得到方程(3.197)的激波,首先假设
![]()
这里τ依然是(3.199),A和B是自由参数,同时p>0 是关键的待定参数。将(3.198)代入(3.197),可以得到
(https://www.daowen.com)
利用齐次平衡原理,令指数(n+1) p−1 和p+3相等,可以得到(3.201),也可以令 2p+1 和p+3相等得到(3.202),自然可以得到(3.203)。考虑到 p和n,方程(3.211)可以重写成

令线性独立项 tanhjτ(j=1,3,5)的系数等于零,可以得到
![]()
此时振幅变成

并且满足条件(3.207)。且
![]()
这些条件保证了激波的存在。因此,(3.197)的激波由下式给出
![]()
这里振幅由(3.214)确定,波速满足(3.213)以及相应的条件。此外,这些条件(3.215)也需要满足。
3.3.3.3 奇异孤立波解(类型-I)
对于(3.197)的类型-I 型奇异孤立波解,假设
![]()
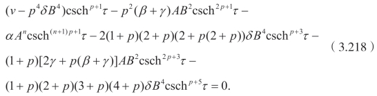
这里 p>0依然由齐次平衡原理来确定,A和B 是自由参数,而τ 依然如前面的(3.199)来确定。将(3.217)代入(3.197)可以得到

如同方程(3.200),利用齐次平衡原理,分别令(n+1) p+1 和 p+5相等,2p+3 和p+5相等,或者2p+1 和p+3相等,可以得到(3.202),于是有(3.203)。因此(3.218)变成

再次,利用线性独立项的系数cschjτ(j=3,5,7)等于零,可以得到波速如同(3.205),振幅则如同(3.214),并且等式也和(3.215)一样。因此,广义KdV方程(3.197)的类型-I 型的奇异孤立波解由下式给出
![]()
这里孤立子的振幅和速度由(3.205)和(3.214)确定,为了保证孤立波解的存在,也需要满足等式(3.215)。
3.3.3.4 奇异孤立波解(类型-II)
为了得到方程(3.197)类型-II 的奇异孤立波解,假设
![]()
这里A,p 和τ 和前面的定义一样。将(3.221)代入广义KdV 方程(3.197),可以得到

平衡最高阶导数项和非线性项可以得到(3.202)和(3.203)。这样(3.222)约化成

自然,(3.213)-(3.215)再次出现。最后,广义五阶KdV 方程(3.197)的奇异孤立波解(类型-II),由下式给出
![]()
这里振幅由(3.214)给出,而波速由(3.213)确定。