3.3.1 广义五阶KdV 方程的群分析

3.3.1 广义五阶KdV 方程的群分析

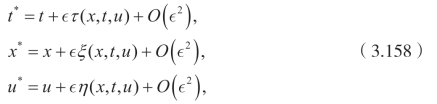
考虑无穷小单参数变换群:

图示

无穷小参数是∊≪1,则无穷小算子是

图示

目的是求解系数函数τ(x,t,u),ξ(x,t,u),η(x,t,u)。同时,V必须满足李对称条件

图示

这里

图示

利用五阶延拓公式Pr(5V),可以得到下面的方程(https://www.daowen.com)

图示

这里

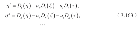
图示

同时,Di是全导数算子。

基于李对称方法,可以得到

图示

这里c1和c2是任意常数。所以可以得到下面的向量场

图示