6.3 多孤立波解
2026年01月14日
6.3 多孤立波解
考虑下面的变换([6],pp30-32),

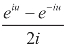
f*是f的共轭函数。考虑到sinu=
,将方程(6.16)代入到方程(6.13)中,可以得到

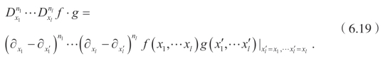
利用下面的广田双线性形式[21],有

这里D是下面的广田双线性算子[21]

现在假定 f 关于∊ 可以展成下面的形式
![]()
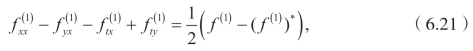
将方程(6.20)代入方程(6.18),可以得到系数(∊):

系数(∊2):

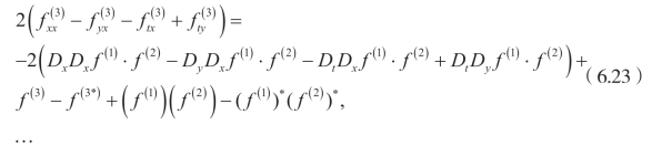
系数(∊3):

为了得到孤立波解,我们选取下面的形式
![]()
并且满足下面的限制条件
(https://www.daowen.com)
因此,可以得到下面的单孤立波解
![]()
换句话说

因为方程(6.21)是个线性方程,所以有下面形式的解
![]()
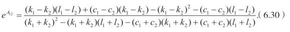
将方程(6.28)代入方程(6.22),可以得到
![]()
这里

也就是说
![]()
因此,可以得到双孤立波解

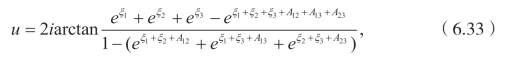
利用同样的过程,可以得到3-孤立波解

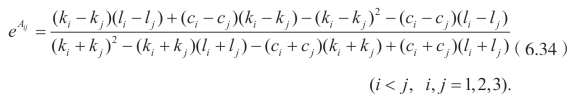
这里

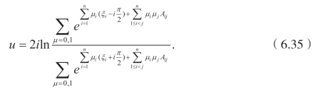
以此类推,可以得到N-孤立波解
