6.2 (2+1)-维sine-Gordon 和sinh-Gordon 方程的导出
2026年01月14日
6.2 (2+1)-维sine-Gordon 和sinh-Gordon 方程的导出
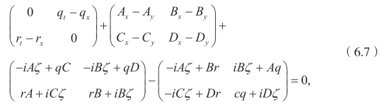
众所周知,AKNS 系统[10]是经典可积系统之一,该系统可以推导出许多著名的方程,比如 KdV 方程、mKdV 方程、非线性薛定谔方程、Burgers 方程、(1+1)-维sine-Gordon 方程等。基于AKNS 系统,考虑下面的(2+1)-维零曲率方程[10,122,123]
![]()
这里

且

利用相容性条件,令特征值是关于时间不变的,也就是说,ζt=0。将方程(6.5)和方程(6.6)代入方程(6.3),得到下面的方程

换句话说,

从第一个和最后一个方程,可以得到D=−A。因此,方程(6.8)变成

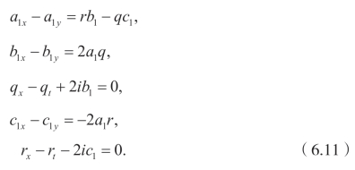
下面的问题是如何求解方程(6.9)。根据文献[10],将 A,B,C,D 展成关于特征值ζ的有限截断形式,正的情况已经有许多论文研究过,因此这里考虑负的情况。利用下面的展开公式
(https://www.daowen.com)
将方程(6.10)代入方程(6.9)中,得到

现在考虑下面的特殊情况

这样一来,得到(2+1)-维sine-Gordon 方程
![]()
类似考虑下面特殊情况:

得到(2+1)-维sinh-Gordon 方程
![]()
注记:1.自然而然地可以得到(2+1)-维双sine-Gordon 方程和双sinh-Gordon 方程
uxx−uxy−uxt+uyt=sinu+sin2u,
uxx−uxy−uxt+uyt=sinhu+sinh2u.
2.再变换ξ=x+y+t,η=y,τ=t,方程(6.13)和(6.15)可以约化成(1+1)-维的情况 Uητ=sinU 和Uητ=sinhU。