6.6 李对称分析和行波解
2026年01月14日
6.6 李对称分析和行波解
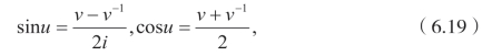
现在,利用下面的变换
![]()
可以得到

同时有

将(6.48)和(6.49)代入(6.13),可以得到下面的方程

或者
![]()
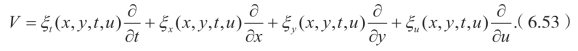
基于李对称方法,假定(6.52)有下面的向量场

因此可以得到下面的结果
![]()
这里F1,F2,F3,F4是x,y,t的任意函数。因此可以得到下面的结果

很容易验证(6.52)有两个基本的几何对称

显而易见,(6.52)有行波解。现在,将v(ξ)=f(k1x+k2y−k3t)代入(6.13),可以得到下面的常微分方程
![]()
这里A=2k12+2k1k3−2k1k2−2k2k3.
现在假定(6.57)有下面形式的解
![]()
这里ϕ满足Riccati 方程
![]()
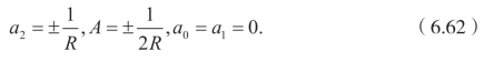
众所周知,Riccati 方程有下面的解
当R<0时有,
(https://www.daowen.com)
当R>0时有,
![]()
现在将(6.58)和(6.59)代入(6.57),可以得到

因此,可以得到

当R<0时,有
![]()
和
![]()
当R>0时,有
![]()
和
![]()
注记 如果用下面的变换
![]()
得到

和

可以得到同样的方程,
![]()
现在为了得到(2+1)-维sinh-Gordon 方程的解,只需将

换成

即可.