6.4 N-孤立波解的行列式表示

6.4 N-孤立波解的行列式表示

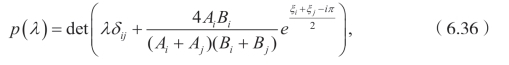
为了得到N-孤立波解的矩阵表示,考虑下面的关于λ 的行列式

图示

这里δij 是下面的函数

图示

且 Ai=ci−ki,Aj=cj−kj,Bi=ki−li,Bj=kj−lj.

假定

图示

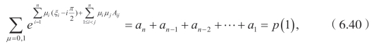
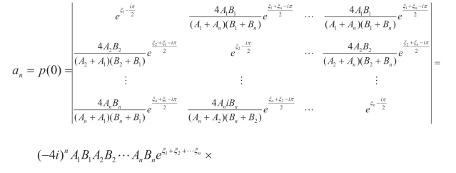
为了计算(6.38)的系数an,令λ=0,(https://www.daowen.com)

图示

图示

重复同样的步骤,可以得到

图示

比较(6.39)的所有系数和(6.35)的分子,可以发现

图示

图示