导文网
搜索
首页>
图书频道>
理学>
数学物理化学
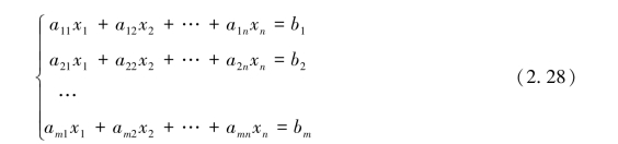
2.7.1 线性方程组的表示形式
2026年01月14日
版权
2.7.1 线性方程组的表示形式
设有m个方程的n元线性方程组为
令
(https://www.daowen.com)
则方程组(2.28)可写成如下矩阵方程的形式:
令
上一章
下一章
目录