5.4.1 二次曲面的化简问题
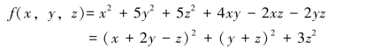
先看一个关于三个变量x,y,z的函数:

该函数可以通过配方变形为

从函数的性态分析中,我们可以知道,当x=0,y=0,z=0时,函数有最小值f(x,y,z)=0.
再从几何上看,f(x,y,z)=x2+5y2+5z2+4xy-2xz-2yz=c表示二次曲面,但它的具体形状无法直接判断.
但是,如果我们从变形后的结果(x+2y-z)2+(y+z)2+3z2=c却很容易看出这是一族椭球面.取c=100,进行MATLAB绘图,得到椭球面图形如图5.1所示.

图5.1
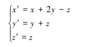
这里,存在一个线性变换:

即

