5.4.2 二次型概念及其矩阵表示
把二次曲面问题进行提炼,可以一般性地提出二次型的概念.
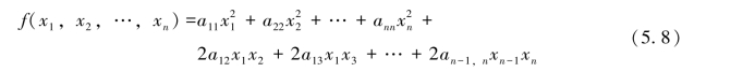
定义5.4.1 将含有n个变量x1,x2,…,xn的二次齐次函数

称为n元二次型.
现在讨论二次型与矩阵的关系.
取aij=aji,则2aijxixj=aijxixj+ajixjxi,于是式(5.8)可写成

定义5.4.2 称式(5.9)为n元二次型的矩阵表示,实对称矩阵A称为二次型f的矩阵,f称为实对称矩阵A的二次型.
二次型的矩阵形式简单且易于研究.所以,对二次型的研究基本上都针对矩阵A来进行.
在写二次型的矩阵A时,只需把f的平方项的系数依次作为主对角线的元素,把f中xixj项系数的一半作为A的第i行第j列的元素,并由对称性,写出第j行第i列的元素.
定义5.4.3 称二次型f(x)=xTAx的矩阵A的秩为二次型f的秩.