▶1.4.1 平衡微分方程

▶1.4.1 平衡微分方程

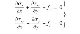
弹性体V域内任一点的平衡微分方程为

图示

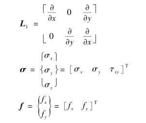
平衡微分方程用矩阵表示为

图示

式中 L1——平衡方程中的微分算子矩阵:

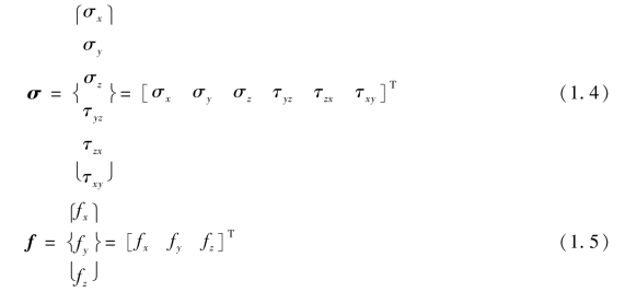
   σ——应力列阵或应力向量;

   f——体力列阵或体力向量。(https://www.daowen.com)

图示

在物体内任一点处,其内力状态可由6个应力分量来定义

图示

对于平面问题,平衡微分方程简化为

图示

则(1.2)式中

图示