▶1.4.4 边界条件

▶1.4.4 边界条件

(1)应力边界条件

在受已知力作用的边界Sσ上,应力与面力满足的条件为

图示

式中 l,m,n——分别为边界外法线方向余弦;

   图示——分别为已知面力分量。

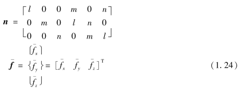
应力边界条件用矩阵表示为

图示

式中 n——方向余弦阵;

   图示——面力列阵。(https://www.daowen.com)

图示

图示

(2)位移边界条件

在位移已知的边界Su上,位移函数应等于已知位移,即

图示

式中 图示——已知位移向量。

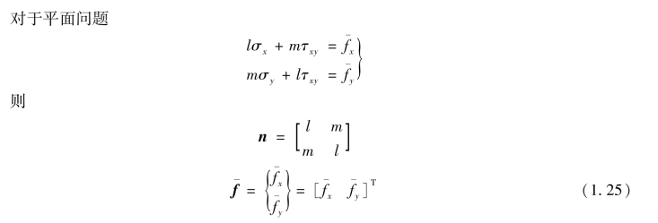
对于平面问题

图示