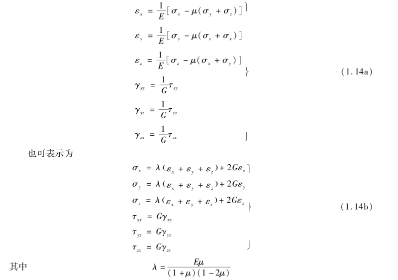
▶1.4.3 物理方程(应力-应变关系)
各向同性材料线弹性体的应力与应变关系,即物理方程为

式中 λ——拉梅(Lame)常数;
E——弹性模量(也称杨氏模量);
μ——泊松比;
G——剪切模量,且

物理方程用矩阵表示为

式中,D为弹性矩阵

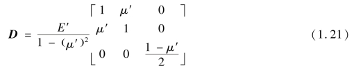
可以看到,两类平面问题其弹性矩阵是不同的。若在平面应力问题弹性矩阵式(1.18)中将E换成
,μ换成
,就能得到平面应变问题弹性矩阵(1.19)。
因此,设

则平面应变问题弹性矩阵可表述为

可以看出,式(1.21)与式(1.18)在形式上完全相似,故对于平面问题弹性矩阵在后续的表述中均采用式(1.18)的形式。
表1.1和表1.2分别给出了不同结构问题中对应的基本量与弹性矩阵。
表1.1 各类结构问题中对应的物理变量

表1.2 各类结构问题中对应的弹性矩阵

续表
