▶1.4.2 几何方程

▶1.4.2 几何方程

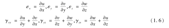
在小变形条件下,弹性体内任一点的应变-位移方程为:

图示

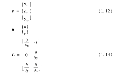
可用矩阵表示为:

图示

式中 L——微分算子矩阵;

   ε——应变列阵或称为应变向量;

   u——位移列阵或位移向量。(https://www.daowen.com)

图示

在物体内的任一点处,其应变状态由6个应变分量来定义:

图示

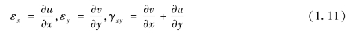
对于平面问题,几何方程可简化为

图示

则式(1.7)中

图示