▶2.1.3 位移边界离散
位移边界离散就是将弹性体所受到的边界约束条件简化到边界的结点上。之所以要进行这样的处理,是因为连续弹性体离散后,各个单元仅在结点处受到外界作用。
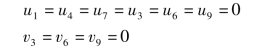
对于上述结构,如图2.4(a)所示离散模型,位移边界结点有:

综上,通过对弹性域进行离散化处理所建立的数值分析模型,称作有限元离散模型。
对于杆系结构,其由一些简单构件组合而成,分析时一般无须再加以分割,可将这些杆件设置为自然单元。如图2.5所示的三角拱架结构中,各直杆构件就是一种自然单元,通常采用①,②,…符号表示标号,通常也称为自然离散。值得指出的是,一个结构的自然构件在分析时能否看作自然单元,将取决于所研究的范围和构件本身的力学行为。

图2.5 杆系结构离散模型