▶2.2.2 位移插值函数
位移模式式(2.5)中6个待定常数a1,a2,…,a6可转化为由单元的6个结点位移参数δe来表示,即位移插值函数。
在位移模式中代入结点i的坐标(xi,yi)可得到结点i在x方向的位移ui,同理可得uj和um,故有

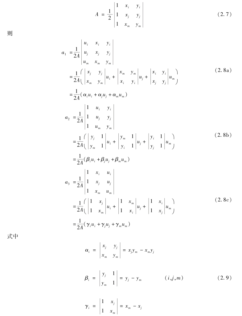
根据求解线性代数方程组行列式代数余子式法,可由式(2.6)求解出待定常数a1,a2,a3。设A为三角形面积

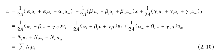
将由式(2.8)求得的参数a1~a3代入位移模式式(2.5),整理可得

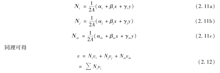
式(2.10)为广义坐标结点位移参数表示的位移函数,即位移插值函数。Ni为坐标的函数,它们反映单元的位移分布形态,称为单元的位移形态函数,或简称为形函数

将式(2.10)和式(2.12)表示为矩阵形式
