▶4.1.3 10结点四面体单元(二次单元)
2026年01月14日
▶4.1.3 10结点四面体单元(二次单元)
图4.6所示为10结点四面体单元,单元结点位移列阵可表示为

式中

图4.6 10结点四面体单元

单元结点力列阵可表示为

式中

(1)单元位移模式
利用图4.4,单元位移模式可设置为完全二次多项式,即

考察单元收敛性。
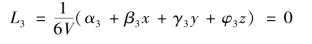
显然,位移函数满足完备性。对于单元的边界面,例如124组成的面(图4.6),L3=0,由式(4.4)可得
![]()
从上式解出z,然后代入式(4.30),则位移函数可表示为
![]()
位移函数为完全二次式,可由该面6个结点1,2,4,5,7,9位移参数唯一确定,因而单元位移函数满足协调性。
(2)位移插值函数
单元插值函数可以表示为:

式中 Ni——用体积坐标表示的二次形函数。
采用划面法直接构造单元形函数。
根据形函数性质(1),对于角结点1,设
![]()
其中包含了通过结点5,6,7的平面方程2L1-1=0与通过结点2,3,4的平面方程L1=0,故(https://www.daowen.com)
![]()
由(L1)
=1,得到c=1,因此
![]()
同理,可得N2,N3,N4。
对于边结点5,设
![]()
上式包含了通过结点1,3,4的平面方程L2=0与通过结点2,3,4的平面方程L1=0,由
,得到c=4,因此有
![]()
同理,可得N6~N10。
于是,10结点四面体的形函数可表示为

(3)单元刚度矩阵和单元等效荷载
空间问题单元刚度矩阵一般可表示为
![]()
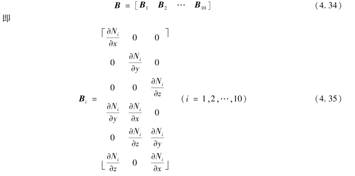
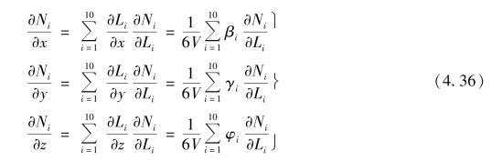
式中 B——几何矩阵,可写成分块形式

其中
,由式(4.10)求得

k可按结点分块写成

则子矩阵krs为

单元等效荷载为列阵
![]()
式中
![]()
单元等效荷载计算可参照式(4.27)计算。