▶4.1.1 体积坐标
2026年01月14日
▶4.1.1 体积坐标
根据四面体单元的几何特点引入自然坐标系,即体积坐标。
类似于平面三角形单元的面积坐标,在三维空间的四面体中,为了避免采用行列式计算体积得到负值,结点编码1,2,3,4的排列服从右手螺旋法则。设单元体积坐标为L1,L2,L3,L4,四面体内任意点P的位置可用4个体积坐标由式(4.1)来确定,即
![]()
式中 V——四面体单元的体积;
V1,V2,V3,V4——四面体P234、P134、P124、P123的体积(图4.2所示)。
由于
![]()
故有
![]()
式(4.2)表明,独立的坐标仍然为3个。
由图4.2可知,体积坐标也在各顶点上有如下特点:


图4.2 体积坐标
4个顶点体积坐标分别为(1,0,0,0),(0,1,0,0),(0,0,1,0),(0,0,0,1)。L1在平行于结点1所对的平面234的任意平面上各点具有相同的坐标值,即L1=常数(1,2,3,4轮换)。特别的,在平面234上,L1=0(1,2,3,4轮换)。
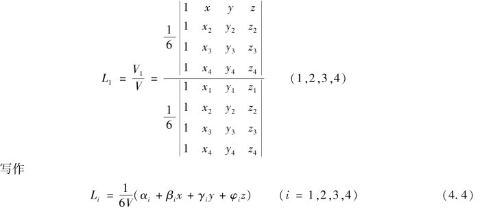
由式(4.1)可得(https://www.daowen.com)

式中 V——四面体的体积。

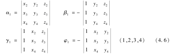
αi,βi,γi,φi为上式中行列式的代数余子式,可表示如下

将式(4.4)写成矩阵形式

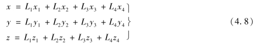
直角坐标可用体积坐标表示为

将式(4.8)连式(4.2)合并写成矩阵形式

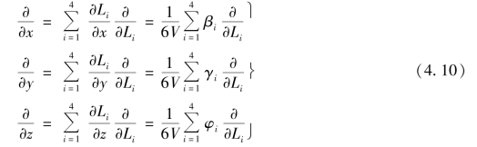
体积坐标的微分计算,采用复合函数运算法则有

体积坐标的体积积分按照下列积分公式计算
