▶4.1.2 4结点四面体(一次单元)
如图4.3所示为4结点四面体单元,具有12个自由度。

图4.3 4结点四面体单元
单元结点位移列阵为

式中

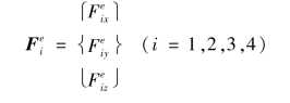
单元结点力列阵为:

式中

(1)位移模式
与平面问题类似,按照3.1节中单元位移模式选择规则,位移多项式选项可以参照图4.4所示三维Pascal三角锥选取。

图4.4 三维Pascal三角锥
由于四面体沿每条边只有两个结点,所以,对于协调的位移场,位移函数u,v,w必须沿每一条边是线性函数。因此,选择完全一次多项式作为其位移模式:

显然,位移模式已满足完备性要求。由式(4.14)可以看出,单元位移函数在边界面上为一平面方程,即在变形过程中该边界面始终保持为平面。这一平面方程能够由该边界面的4个结点唯一确定,因此满足协调性要求,该单元为完备协调单元。
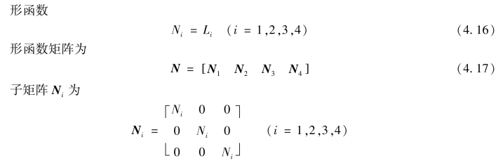
(2)位移插值函数
单元位移插值函数为

记为矩阵表达式
![]()
式(4.15)中,形函数Ni则采用第3章中相似的方法得到,不同之处在于平面问题采用划线方法,而三维问题采用划面法。

(3)应力与应变
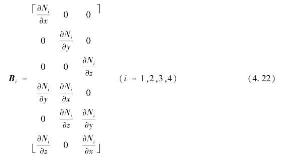
将式(4.16)代入几何方程(1.7)和式(1.8),得到


将式(4.4)、式(4.16)代入方程(4.22),可得

由于式(4.23)中的βi,γi,φi均由结点的坐标值确定,因此,几何矩阵B为常数矩阵。(https://www.daowen.com)
将式(4.18)代入物理方程(1.16)可得
![]()
式中,弹性矩阵D由式(1.17)给出。
(4)单元刚度矩阵
根据第2.2.5节讨论,单元刚度矩阵一般可表达为

对于4结点四面体单元,矩阵B和D都是常数阵,所以方程(4.25)可简化为
![]()
式中 V——单元的体积。
(5)等效结点荷载
设
为单元等效结点荷载
![]()
根据由第2.2.6节讨论,单元等效结点荷载参照式(2.40)得出

式中
——体力产生的单元等效结点荷载;
——面力产生的单元等效结点荷载。
例如,对于任意4结点四面体单元,其比重为ρg。体力可表示为
![]()
将式(4.20)式代入式(4.28),有

这表明,单元等效结点荷载将体力合力平均分配在4个结点上,即:
![]()
此时等效原则符合平行力法法则。
考虑均匀压力p情况,若压力作用在如图4.5所示单元的结点123的表面上,合成的结点荷载为:

式中 px,py,pz——分别是p的x,y,z分量。

图4.5 4结点四面体单元
简化并积分上式可得到:
![]()
式中 S123——与结点123相关的表面面积。