▶7.2.4 结点位移δe与位移参数a之间的转换关系

▶7.2.4 结点位移δ e与位移参数a之间的转换关系

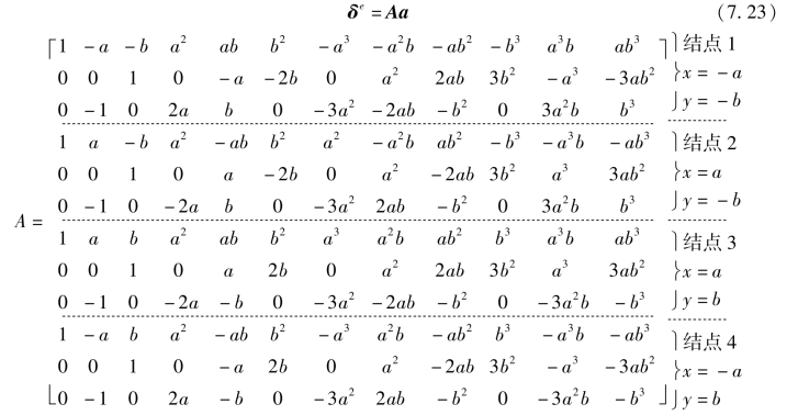
为了导出结点位移δe与位移参数a之间的转换关系,可分别将4个结点的坐标值代入式(7.18)和式(7.21),即得出如下关系:

图示

式(7.23)的逆转换式为

图示(https://www.daowen.com)

逆阵A-1的展开式见式(7.25)。

图示

将式(7.24)代入式(7.21)可得

图示

式(7.26)为单元内部点的挠度w(x,y)与结点位移δe之间的转换关系。