导文网
搜索
首页>
图书频道>
理学>
数学物理化学
▶7.2.6 由弹性方程求内力M
2026年01月14日
版权
▶7.2.6 由弹性方程求内力M
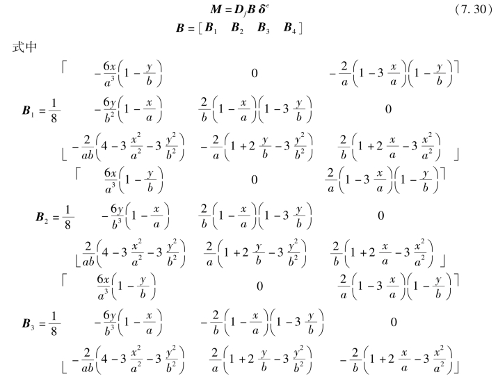
将式(7.28)代入式(7.14),则得
(https://www.daowen.com)
上一章
下一章
目录