▶7.2.5 由几何方程求弯扭变形κ

▶7.2.5 由几何方程求弯扭变形κ

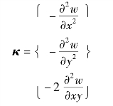
利用几何方程,可由挠度w求出薄板单元的弯扭变形:

图示

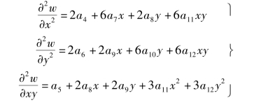
由式(7.21),可得

图示

由此可得出弯扭变形κ如下:(https://www.daowen.com)

图示

式(7.28)为由结点位移δe求弯扭变形κ的转换式。

矩阵B可写成分块形式:

图示

其中的子矩阵Bi等都是3×3阶矩阵。