▶7.2.8 等效结点荷载
2026年01月14日
▶7.2.8 等效结点荷载
设薄板矩形单元上作用法向分布荷载,荷载集度为q(x,y)。现在将非结点荷载转化为作用于单元结点的等效结点荷载
。
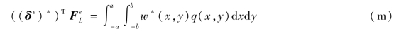
转化的方法根据虚功原理。设结点虚位移为(δe)*,内部任一点相应的虚挠度w*(x,y)可按式(l)求得
![]()
令q(x,y)在虚挠度w*(x,y)上做的功等于
在结点虚位移(δe)*上做的功,即
![]()
将式(l)两边转置,并注意到w*是纯量,(w*)T=w*,故得
![]()
将式(n)代入式(m)的右边即得
![]()
由于虚位移(δe)*是任意的,故得

下面讨论几种经常遇到的非结点荷载。
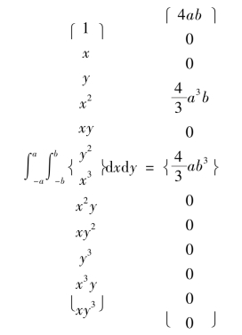
①单元受均布法向荷载q,这时q(x,y)=常量,代入式(7.34)得:(https://www.daowen.com)
![]()
等式右端的积分为

②矩形单元在任一点(x0,y0)受集中法向荷载F作用。
根据虚功原理
![]()
由此得
![]()
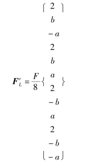
如果是集中荷载P作用于矩形单元的中心点(0,0),则:
![]()
即
