8.1 壳体的内力
薄壳理论是建立在和薄板理论相类似的两个基本假定上,通常也称为Kirohhoff假定,即:
①变形前垂直于中面的直线在变形后仍然是直线,与变形后的中面保持垂直,且长度不变(也称为直法线假定)。
②垂直于中面方向的应力与其他应力相比较,可忽略不计。
第一个假定忽略壳体的横向剪切变形和横向挤压变形;第二个假定忽略壳体的横向挤压应力。这样,就可以把壳体看作是由许多平行于中面的薄层所组成,它们互不挤压,单独的变形而又保持直法线的特性。于是,薄壳的变形问题就可以化为研究其中面的变形问题,这样三维问题就被简化为二维问题处理。
虽然基本假设相同,但薄壳和薄板之间还存在本质差别,即使在小挠度前提之下也是如此。在薄壳中,面内力(常称为薄膜内力)和弯曲应力同时存在并且相互影响,这会导致壳体的微分方程变得复杂,不能像面内变形的薄板那样进行简单的叠加。
由于壳体曲率的存在,因此可以面内力来平衡垂直于中面的外荷载,这在薄板小挠度情况下是不可能的。以面内力来平衡外荷载,这是壳体的特点和优点。面内力引起的应力沿厚度方向是线性分布的,在工程设计中,总是力图由面内力来平衡外荷载,避免弯曲内力出现。壳体内没有弯曲内力出现的状态称为“无矩状态”或“薄膜状态”,研究壳体无矩状态的理论称为无矩理论或薄膜理论。在无矩理论中,壳体可以有弯曲变形,但不产生内力矩和横向剪力。有变形而无相应的内力,这在刚度为零的情况下是可以的。
考察一壳体的微元体,如图8.1所示,Oabc是它的中面,Oxyz为建立在中面上的右手坐标系,z轴为中面法线,x,y轴与中面相切。与平板微元体不同,壳体的微元体是曲状的,中间在x向和y向的曲率半径为rx,ry。

图8.1 壳微元体

图8.2 壳微元体上的内力
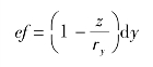
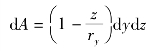
现在,考察微元体截面上的内力,先看ac截面,在图8.2(a)中,为清晰起见,把ac截面的形状画得不是协调的。在z方向,截面有厚度h,而在宽度方向(ac方向或y方向)截面只具有微元体的长度,因此ac截面的形状应是厚度大大超过宽度。作用在ac截面上的应力,沿着y方向可以看成是不变的,而仅仅沿着z方向变化。由此,将ac截面看成是由一些平行于ac的“窄条”组成,图中示出典型的窄条ef,它与中面ac中距离为z,厚度为dz。ac截面并不是一个矩形,而为圆环的一部分。由关系式
![]()
得到

于是,ef窄条的面积为

作用在窄条上的应力如图8.2(b)所示。所有如ef这样窄条上的应力就组成了ac截面的内力和内力矩,和在平板时的情形相似。去掉因子dy,得到的是单位长度上的内力和内力矩,它们分别是
x方向的拉力

顺剪力(中面内的剪力)

横剪力(与中面垂直)

弯矩
(https://www.daowen.com)
扭矩

再考虑bc截面,可类似得到如下的内力:
x方向的拉力

顺剪力(中面内的剪力)

横剪力(与中面垂直)

弯矩

扭矩

这些内力表达式的确立,已经规定了所有内力和内力矩的正向,如图8.3所示。为便于记忆,可做如下的理解:
①FNx,FNy以拉为正、压为负;
②Fxy,Fyx以与x,y轴正方向的夹角减小为正,反之为负;当Fx,Fy作用在法向与x,y轴正方向相一致的截面上时,与z轴的正方向一致为正;Mx,My以使z=
的曲面产生拉应力时为正;Mxy使O点及其对角c点翘向z轴的负方向为正。

图8.3 薄壳内力

这就是说,上式的成立并不是剪力互等定律的直接推论,而是在计算内力值时近似地将截面形状看作矩形的缘故。
综上所述,壳体在每一点处有8个内力分量。在壳体的计算中,常先求内力,再按梁理论计算内力,即

式中
内力FNx,FNy,Fxy引起的应力沿厚度均匀分布。弯矩Mx,My,Mxy引起的应力沿厚度线性分布,在中面为零,在两表面达到最大正、负值。横剪力Fx,Fy引起的剪应力沿厚度为抛物线分布,在中面为最大,在两表面为零。
内力FNx,FNy,Fxy常称为薄膜内力,它们的方向平行于中面,这是中面的拉伸、压缩、剪切而产生的。
弯矩Mx,My,横剪力Fx,Fy和扭矩Mxy常称为弯曲内力,它们是中面的弯扭变形而产生的。