答案速查

答案速查

一、填空题

(1)λ>2. (2)4a6. (3)a2. (4)-1. (5)0.9. (6)图示

二、选择题(https://www.daowen.com)

(7)(D). (8)(A). (9)(B). (10)(C). (11)(B). (12)(C).

三、解答题

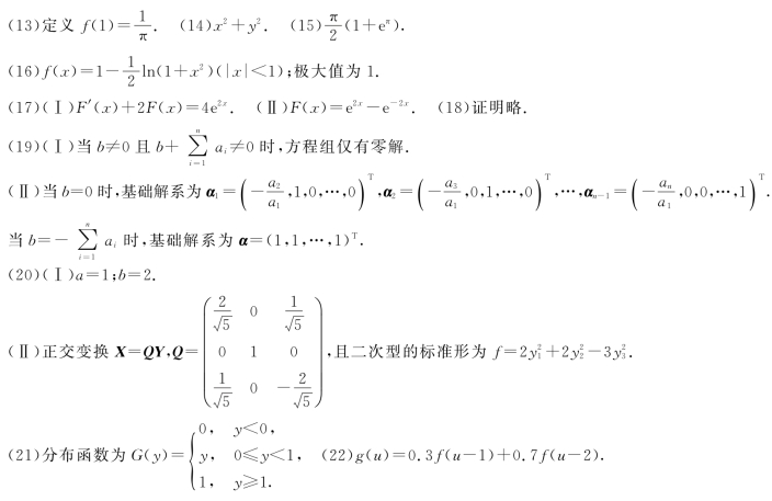
图示