2003年全国硕士研究生入学统一考试数学三试题
姓名_______分数_______
一、填空题:1~6小题,每小题4分,共24分.
(1)设
其导函数在x=0处连续,则λ的取值范围是_______.
(2)已知曲线y=x3-3a2x+b与x轴相切,则b2可以通过a表示为b2=.
![]()
(4)设n维向量α=(a,0,…,0,a)T,a<0,E为n阶单位矩阵,矩阵
,其中A的逆矩阵为B,则a=_________.
(5)设随机变量X和Y的相关系数为0.9,若Z=X-0.4,则Y与Z的相关系数为_______.
(6)设总体X服从参数为2的指数分布,X1,X2,…,Xn为来自总体X的简单随机样本,则当n→∞时,Yn=
依概率收敛于_______.
二、选择题:7~12小题,每小题4分,共24分.下列每题给出的四个选项中,只有一个选项是符合题目要求的.
(7)设f(x)为不恒为零的奇函数,且f′(0)存在,则函数![]()
(A)在x=0处左极限不存在.(B)有跳跃间断点x=0.
(C)在x=0处右极限不存在.(D)有可去间断点x=0.
(8)设可微函数f(x,y)在点(x0,y0)取得极小值,则下列结论正确的是
(A)f(x0,y)在y=y0处的导数等于零.(B)f(x0,y)在y=y0处的导数大于零.
(C)f(x0,y)在y=y0处的导数小于零.(D)f(x0,y)在y=y0处的导数不存在.

(A)a=b或a+2b=0.(B)a=b或a+2b≠0.
(C)a≠b且a+2b=0.(D)a≠b且a+2b≠0.
(11)设α1,α2,…,αs均为n维向量,下列结论不正确的是
(A)若对于任意一组不全为零的数k1,k2,…,ks都有k1α1+k2α2+…+ksαs≠0,则α1,α2,…,αs线性无关.
(B)若α1,α2,…,αs线性相关,则对于任意一组不全为零的数k1,k2,…,ks有k1α1+k2α2+…+ksαs=0.
(C)α1,α2,…,αs线性无关的充分必要条件是此向量组的秩为s.
(D)α1,α2,…,αs线性无关的必要条件是其中任意两个向量线性无关.
(12)将一枚硬币独立地掷两次,引进事件:A1={掷第一次出现正面},A2={掷第二次出现正面},A3={正、反面各出现一次},A4={正面出现两次},则事件
(A)A1,A2,A3相互独立.(B)A2,A3,A4相互独立.(https://www.daowen.com)
(C)A1,A2,A3两两独立.(D)A2,A3,A4两两独立.
三、解答题:13~22小题,共102分.解答应写出文字说明、证明过程或演算步骤.

(17)(本题满分9分)
设F(x)=f(x)g(x),其中f(x),g(x)在(-∞,+∞)内满足以下条件:
![]()
(Ⅰ)求F(x)所满足的一阶微分方程;
(Ⅱ)求出F(x)的表达式.
(18)(本题满分8分)
设函数f(x)在[0,3]上连续,在(0,3)内可导,且f(0)+f(1)+f(2)=3,f(3)=1,试证必存在ξ∈(0,3),使f′(ξ)=0.
(19)(本题满分13分)
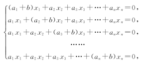
已知齐次线性方程组

其中
,讨论a1,a2,…,an和b满足何种关系时,
(Ⅰ)方程组仅有零解;
(Ⅱ)方程组有非零解,在有非零解时,求此方程组的一个基础解系.
(20)(本题满分13分)
设二次型
),其中二次型的矩阵A的特征值之和为1,特征值之积为-12.
(Ⅰ)求a,b之值;
(Ⅱ)利用正交变换将二次型化为标准形,并写出所用的正交变换和对应的正交矩阵.
(21)(本题满分13分)
设随机变量X的概率密度为

F(x)是X的分布函数.求随机变量Y=F(X)的分布函数.
(22)(本题满分13分)
设随机变量X与Y独立,其中X的概率分布为
,而Y的概率密度为f(y),求随机变量U=X+Y的概率密度g(u).