2002年全国硕士研究生入学统一考试数学三试题
姓名_______分数_______
一、填空题:1~5小题,每小题3分,共15分.

(4)设随机变量X和Y的联合概率分布为_________________________________________________________则X2和Y2的协方差Cov(X2,Y2)=___________.

(5)设总体X的概率密度为
而X1,X2,…,Xn是来自总体X的简单随机样本,则未知参数θ的矩估计量为_________.
二、选择题:6~9小题,每小题3分,共12分.下列每题给出的四个选项中,只有一个选项是符合题目要求的.
(6)设函数f(x)在闭区间[a,b]上有定义,在开区间(a,b)内可导,则
(A)当f(a)f(b)<0时,存在ξ∈(a,b),使f(ξ)=0.
(B)对任何ξ∈(a,b),有.
![]()
(C)当f(a)=f(b)时,存在ξ∈(a,b),使f′(ξ)=0.
(D)存在ξ∈(a,b),使f(b)-f(a)=f′(ξ)(b-a).
(7)设A是m×n矩阵,B是n×m矩阵,则线性方程组ABx=0
(A)当n>m时仅有零解.(B)当n>m时必有非零解.
(C)当m>n时仅有零解.(D)当m>n时必有非零解.
(8)设A是n阶实对称矩阵,P是n阶可逆矩阵.已知n维列向量α是A的属于特征值λ的特征向量,则矩阵
(P-1AP)T属于特征值λ的特征向量是
(A)P-1α.(B)PTα.(C)Pα.(D)(P-1)Tα.
(9)设随机变量X和Y都服从标准正态分布,则
(A)X+Y服从正态分布.(B)X2+Y2服从χ2分布.
(C)X2和Y2都服从χ2分布.(D)X2/Y2服从F分布.
三、解答题:10~19小题,共73分.解答应写出文字说明、证明过程或演算步骤.
(10)(本题满分5分)

(11)(本题满分7分)(https://www.daowen.com)
设函数u=f(x,y,z)有连续偏导数,且z=z(x,y)由方程xex-yey=zez所确定,求du.
(12)(本题满分6分)
![]()
(13)(本题满分7分)
设D1是由抛物线y=2x2和直线x=a,x=2及y=0所围成的平面区域;D2是由抛物线y=2x2和直线y=0,x=a所围成的平面区域,其中0<a<2.
(Ⅰ)试求D1绕x轴旋转而成的旋转体体积V1;D2绕y轴旋转而成的旋转体体积V2;
(Ⅱ)问当a为何值时,V1+V2取得最大值?试求此最大值.
(14)(本题满分7分)

(15)(本题满分7分)
设函数f(x),g(x)在[a,b]上连续,且g(x)>0.利用闭区间上连续函数性质,证明存在一点ξ∈[a,b],使
![]()
(16)(本题满分8分)
设齐次线性方程组

其中a≠0,b≠0,n≥2.试讨论a,b为何值时,方程组仅有零解、有无穷多解?在有无穷多解时,求出全部解,并用基础解系表示全部解.
(17)(本题满分9分)
设A为3阶实对称矩阵,且满足条件A2+2A=O,已知A的秩r(A)=2.
(Ⅰ)求A的全部特征值;
(Ⅱ)当k为何值时,矩阵A+kE为正定矩阵,其中E为3阶单位矩阵.
(18)(本题满分8分)
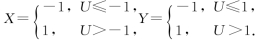
假设随机变量U在区间[-2,2]上服从均匀分布,随机变量
![]()
试求(Ⅰ)X和Y的联合概率分布;
(Ⅱ)D(X+Y).
(19)(本题满分9分)
假设一设备开机后无故障工作的时间X服从指数分布,平均无故障工作的时间(EX)为5小时.设备定时开机,出现故障时自动关机,而在无故障的情况下工作2小时便关机.试求该设备每次开机无故障工作的时间Y的分布函数F(y).