2004年全国硕士研究生入学统一考试数学三试题
姓名_______分数_______
一、填空题:1~6小题,每小题4分,共24分.

(6)设总体X服从正态分布N(μ1,σ2),总体Y服从正态分布N(μ2,σ2),X1,X2,…,Xn1和Y1,Y2,…,Yn2分别是来自总体X和Y的简单随机样本,则
=________.
二、选择题:7~14小题,每小题4分,共32分.下列每题给出的四个选项中,只有一个选项是符合题目要求的.

则
(A)x=0必是g(x)的第一类间断点.(B)x=0必是g(x)的第二类间断点.
(C)x=0必是g(x)的连续点.(D)g(x)在点x=0处的连续性与a的取值有关.
(9)设f(x)=|x(1-x)|,则
(A)x=0是f(x)的极值点,但(0,0)不是曲线y=f(x)的拐点.
(B)x=0不是f(x)的极值点,但(0,0)是曲线y=f(x)的拐点.
(C)x=0是f(x)的极值点,且(0,0)是曲线y=f(x)的拐点.
(D)x=0不是f(x)的极值点,(0,0)也不是曲线y=f(x)的拐点.
(10)设有以下命题:


则以上命题中正确的是
(A)①②.(B)②③.(C)③④.(D)①④.
(11)设f′(x)在[a,b]上连续,且f′(a)>0,f′(b)<0,则下列结论中错误的是
(A)至少存在一点x0∈(a,b),使得f(x0)>f(a).
(B)至少存在一点x0∈(a,b),使得f(x0)>f(b).
(C)至少存在一点x0∈(a,b),使得f′(x0)=0.
(D)至少存在一点x0∈(a,b),使得f(x0)=0.
(12)设n阶矩阵A与B等价,则必有
(A)当|A|=a(a≠0)时,|B|=a.(B)当|A|=a(a≠0)时,|B|=-a.
(C)当|A|≠0时,|B|=0.(D)当|A|=0时,|B|=0.
(13)设n阶矩阵A的伴随矩阵A*≠O,若ξ1,ξ2,ξ3,ξ4是非齐次线性方程组Ax=b的互不相等的解,则对应的齐次线性方程组Ax=0的基础解系
(A)不存在.(B)仅含一个非零解向量.
(C)含有两个线性无关的解向量.(D)含有三个线性无关的解向量.
(14)设随机变量X服从正态分布N(0,1),对给定的α(0<α<1),数uα满足P{X>uα}=α.若P{|X|<x}=α,则x等于
![]()
三、解答题:15~23小题,共94分.解答应写出文字说明、证明过程或演算步骤.
(15)(本题满分8分)
![]()
(16)(本题满分8分)(https://www.daowen.com)
求
其中D是由圆x2+y2=4和(x+1)2+y2=1所围成的平面区域,如图所示.
(17)(本题满分8分)
设f(x),g(x)在[a,b]上连续,且满足


(18)(本题满分9分)
设某商品的需求函数为Q=100-5P,其中价格P∈(0,20),Q为需求量.
(Ⅰ)求需求量对价格的弹性Ed(Ed>0);
(Ⅱ)推导
)(其中R为收益),并用弹性Ed说明价格在何范围内变化时,降低价格反而使收益增加.
(19)(本题满分9分)
设级数
![]()
的和函数为S(x).求:
(Ⅰ)S(x)所满足的一阶微分方程;
(Ⅱ)S(x)的表达式.
(20)(本题满分13分)
设α1=(1,2,0)T,α2=(1,a+2,-3a)T,α3=(-1,-b-2,a+2b)T,β=(1,3,-3)T,试讨论当a,b为何值时,
(Ⅰ)β不能由α1,α2,α3线性表示;
(Ⅱ)β可由α1,α2,α3唯一地线性表示,并求出表达式;
(Ⅲ)β可由α1,α2,α3线性表示,但表达式不唯一,并求出表达式.
(21)(本题满分13分)
设n阶矩阵

(Ⅰ)求A的特征值和特征向量;
(Ⅱ)求可逆矩阵P,使得P-1AP为对角矩阵.
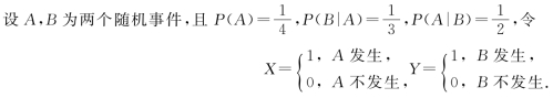
(22)(本题满分13分)

求:(Ⅰ)二维随机变量(X,Y)的概率分布;
(Ⅱ)X与Y的相关系数ρXY;
(Ⅲ)Z=X2+Y2的概率分布.
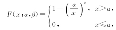
(23)(本题满分13分)
设随机变量X的分布函数为

其中参数α>0,β>1.设X1,X2,…,Xn为来自总体X的简单随机样本.
(Ⅰ)当α=1时,求未知参数β的矩估计量;
(Ⅱ)当α=1时,求未知参数β的最大似然估计量;
(Ⅲ)当β=2时,求未知参数α的最大似然估计量.