答案速查

答案速查

一、填空题

(1)2. (2)xy=2. (3)2edx+(e+2)dy.图示(6)0.4;0.1.

二、选择题(https://www.daowen.com)

(7)(B). (8)(A). (9)(D). (10)(B). (11)(C). (12)(A). (13)(D).

三、解答题

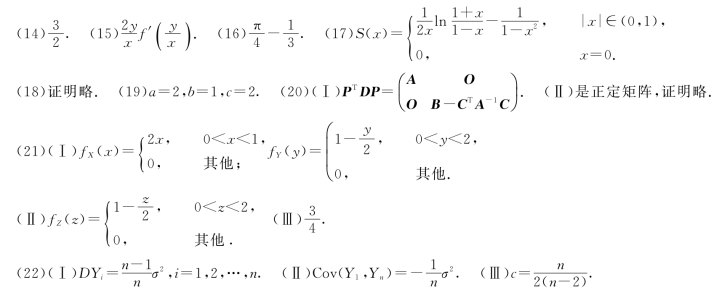
图示