罗尔定理及其应用
【主要内容】
1.罗尔定理
设函数f(x)在[a,b]上连续,在(a,b)内可导,且f(a)=f(b),则存在ξ∈(a,b),使得f′(ξ)=0.
罗尔定理有各种推广形式,例如
(1)设函数f(x)在(a,b)内可导,且
与
存在且相等,则存在ξ∈(a,
b),使得f′(ξ)=0.
(2)设函数f(x)在[a,+∞)上连续,在(a,+∞)上可导,且
,则存在ξ∈(a,+∞),使得f′(ξ)=0.
2.罗尔定理应用方法
罗尔定理往往用于证明以下三类问题:
(1)当函数f(x)在[a,b]上连续,在(a,b)内可导,且满足某些其他条件时,证明存在ξ∈(a,b),使得f′(ξ)=0成立.
对于这类问题,只要根据题中所给的“某些其他条件”设法找到位于[a,b]上的使得f(x1)=f(x2)(x1<x2)的两点x1,x2即可.
(2)当函数f(x)在[a,b]上连续,在(a,b)内可导,且满足某些其他条件时,证明存在ξ∈(a,b),使得某个关于f′(ξ)的等式成立.
对这类问题需要先作辅助函数,其步骤如下:
将待证等式中的ξ改为x,并将等号右边的式子移至左边,将左边函数或左边函数与某个在(a,b)内恒为正(或恒为负)的因子之积表示成某个函数F(x)的导数F′(x),则取F(x)为辅助函数.
然后,检验辅助函数F(x)在[a,b]上连续,在(a,b)内可导,并设法找到位于[a,b]上的使得F(x1)=F(x2)(x1<x2)的两点x1,x2即可.
(3)当函数f(x)在[a,b]上连续,在(a,b)内二阶可导,且满足某些其他条件时,证明存在ξ∈(a,b)使得f″(ξ)=0.
对这类问题,只要根据题中所给的“某些其他条件”,想法找到位于[a,b]上的使得f(x1)=f(x2)=f(x3)(x1<x2<x3)的三点x1,x2,x3即可.这是因为由罗尔定理知存在ξ1∈(x1,x2)和ξ2∈(x2,x3),使得f′(ξ1)=f′(ξ2).再对f′(x)在[ξ1,ξ2]上应用罗尔定理得存在ξ∈(ξ1,ξ2)⊂(a,b),使得f″(ξ)=0.
【典型例题】
例1.13.1 设函数f(x)在[a,b]上连续,在(a,b)内可导,且f(a)=f(b)=1.证明:存在ξ∈(a,b),使得f′(ξ)+f(ξ)=1.
精解 先作辅助函数,将欲证等式中的ξ改为x得
f′(x)+f(x)=1,即[f(x)-1]′+[f(x)-1]=0.上式两边同乘ex得
ex[f(x)-1]′+ex[f(x)-1]=0,即{ex[f(x)-1]}′=0.因此,记F(x)=ex[f(x)-1](辅助函数),显然它在[a,b]上连续,在(a,b)内可导,且F(a)=F(b)=0,所以由罗尔定理知,存在ξ∈(a,b),使得F′(ξ)=0,即
f′(ξ)+f(ξ)=1.
例1.13.2 设函数f(x),g(x)都在[0,1]上连续,在(0,1)内可导,且f(0)=g(1)
=0.证明:
(1)存在ξ∈(0,1),使得f′(ξ)g(ξ)+f(ξ)g′(ξ)=0;
(2)存在η∈(0,1),使得ηf′(η)+kf(η)=f′(η)(k为正数).
精解 (1)将欲证等式中的ξ改为x得f′(x)g(x)+f(x)g′(x)=0,
即[f(x)g(x)]′=0.
因此记F1(x)=f(x)g(x)(辅助函数),显然它在[0,1]上连续,在(0,1)内可导,且
F1(0)=F1(1)=0,所以由罗尔定理知,存在ξ∈(0,1),使得F1′(ξ)=0,即f′(ξ)g(ξ)+f(ξ)g′(ξ)=0.(https://www.daowen.com)
(2)将待证等式中的η改为x得xf′(x)+kf(x)=f′(x),
即(x-1)f′(x)+kf(x)=0.
上式两边同乘以(x-1)k-1得(x-1)kf′(x)+k(x-1)k-1f(x)=0,
即[(x-1)kf(x)]′=0.
因此记F2(x)=(x-1)kf(x)(辅助函数),显然它在[0,1]上连续,在(0,1)内可导,且
F2(0)=F2(1)=0,所以由罗尔定理知,存在η∈(0,1),使得F2′(η)=0,即ηf′(η)+kf(η)=f′(η).
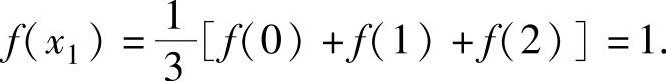
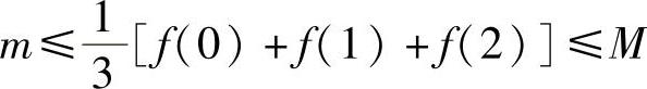
例1.13.3 设函数f(x)在[0,3]上连续,在(0,3)内可导,且f(0)+f(1)+f(2)=3,
f(3)=1.证明:存在ξ∈(0,3),使得f′(ξ)=0.
精解 由于本题是证明存在ξ∈(0,3),使得f′(ξ)=0,所以不必作辅助函数,只要
找到使f(x1)=f(x2)的两点x1,x2∈(0,3)(x1<x2)即可.
显然可取x2=3,则f(x2)=1.
由于f(x)在[0,2]上连续,所以f(x)在[0,2]上有最大值M和最小值m,于是对
,
由连续函数的介值定理知,存在x1∈[0,2],使得
由于f(x)在[x1,x2]上连续,在(x1,x2)内可导,且f(x1)=f(x2)=1,所以由罗尔定理知,存在ξ∈(x1,x2)⊂(0,3),使得f′(ξ)=0.
例1.13.4 设函数f(x)在[a,b]上二阶可导,且f(a)=f(b)=0,f+′(a)·f-′(b)>0.证明:
(1)存在ξ∈(a,b),使得f(ξ)=0;
(2)存在η∈(a,b),使得f″(η)=0.
精解 (1)由于本小题是证明存在ξ∈(a,b),使得f(ξ)=0,故可考虑应用零点定理,于是根据f+′(a)·f-′(b)>0,设法找到x1,x2∈(a,b)(x1<x2),使得f(x1)·f(x2)<0.
由于f+′(a)·f-′(b)>0,不妨设f+′(a)>0,f-′(b)>0.于是由导数定义得

由此可知,存在x1,x2∈(a,b)(x1<x2),使得f(x1)>0,f(x2)<0.于是由连续函数零点定理可得,存在ξ∈(x1,x2)⊂(a,b),使得f(ξ)=0.
(2)由于本小题是证明存在η∈(a,b),使得f″(η)=0,所以只要在[a,b]上找到不同的三点x1,x2,x3使得f(x1)=f(x2)=f(x3)即可.
由题设和(1)的证明知,[a,b]上有三个不同点a,ξ,b,它们满足
f(a)=f(ξ)=f(b).
于是由f(x)在[a,b]上二阶可导知,存在η∈(ξ1,ξ2)⊂(a,b),使得f″(η)=0.
例1.13.5 设函数f(x),g(x)都在[a,b]上连续,在(a,b)内二阶可导且存在相等的最大值,以及f(a)=g(a),f(b)=g(b).证明:存在ξ∈(a,b),使得f″(ξ)=g″(ξ).
精解 由于要证明存在ξ∈(a,b),使得f″(ξ)=g″(ξ),可作辅助函数F(x)=f(x)-g(x),使问题转换成证明存在ξ∈(a,b),使得F″(ξ)=0.为此只要找到[a,b]上的不同三点x1,x2,x3(x1<x2<x3),使得f(x1)=f(x2)=f(x3)即可.具体证明如下:
记F(x)=f(x)-g(x),则由题设知F(x)在[a,b]上连续,在(a,b)内二阶可导,且F(a)=F(b)=0.显然,可取x1=a,x3=b.此外,设f(x),g(x)分别在(a,b)内的点c和点d处取到最大值M.不妨设c≤d.
当c<d时,F(c)=f(c)-g(c)=M-g(c)≥0,F(d)=f(d)-g(d)=f(d)-M≤0,则由连续函数的零点定理(推广形式)知存在x2∈[c,d],使得F(x2)=0.
当c=d时,F(c)=f(c)-g(c)=M-M=0,此时可取x2=c.
由上所述知,存在点a,c,b(a<c<b),使得F(a)=F(c)=F(b),所以存在ξ∈(a,b),使得F″(ξ)=0,即f″(ξ)=g″(ξ).