泰勒公式及其应用
【主要内容】
1.带拉格朗日型余项的泰勒公式
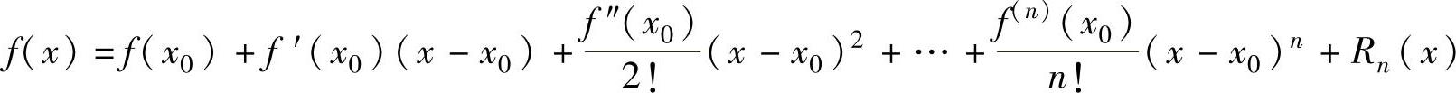
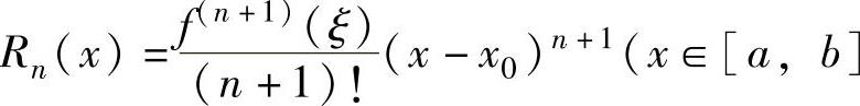
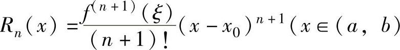
设函数f(x)在[a,b]上具有直到n阶的连续导数,在(a,b)内具有n+1阶导数,则对x0∈[a,b],有

(x∈[a,b]).(1)
其中,余项
,ξ是介于x0与x之间的实数).
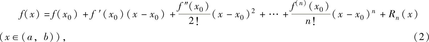
设函数f(x)在(a,b)上具有直到n+1阶导数,则对x0∈(a,b),有

其中,余项
,ξ是介于x0与x之间的实数).
式(1)和式(2)称为f(x)按(x-x0)的幂展开的带拉格朗日型余项的n阶泰勒公式.当x0=0时,式(1)和式(2)称为f(x)的带拉格朗日型余项的n阶麦克劳林公式.
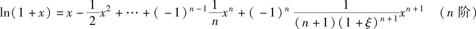
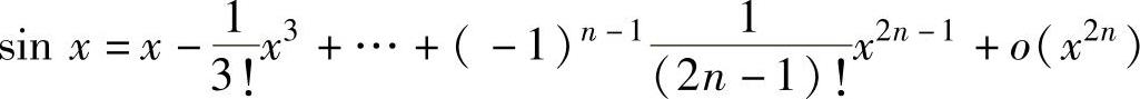
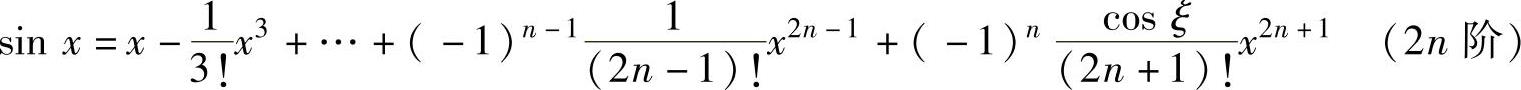
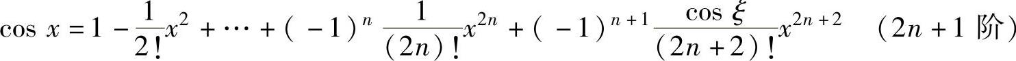
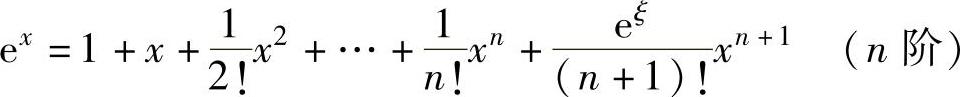
(1)常用函数的带拉格朗日型余项的麦克劳林公式
,
,
,
,

其中,以上各式的ξ是介于0与x之间的实数.
(2)带拉格朗日型余项的泰勒公式常应用于证明:对于二阶或三阶可导的函数f(x),存在ξ,使得关于f″(ξ)=k(k为常数)或f‴(ξ)的表达式成立.
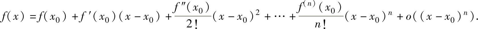
2.带佩亚诺型余项的泰勒公式
设函数f(x)在点x0的某个邻域内有直到n阶导数,则对这个邻域内的x,有

(3)
式(3)称为f(x)按(x-x0)的幂展开的带佩亚诺型余项的n阶泰勒公式.当x0=0时,式(3)称为f(x)的带佩亚诺型余项的n阶麦克劳林公式.
(1)常用函数的带佩亚诺型余项的麦克劳林公式
,
,
,
,

(2)带佩亚诺型余项的泰勒公式常用于寻找比较复杂的函数在x→x0时的等价无穷小或计算函数在点x0处的高阶导数的情形.
【典型例题】
例1.15.1 计算下列各题:
(1)求函数f1(x)=exsinx的带拉格朗日型余项的四阶麦克劳林公式;
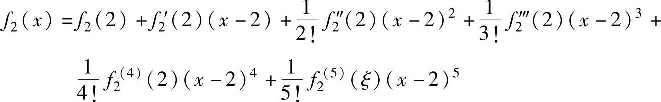
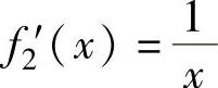
(2)求函数f2(x)=lnx的按(x-2)的幂展开的带拉格朗日型余项的四阶泰勒公式.
精解 分别计算f1(x)和f2(x)的直到五阶导函数,即可得到要求的公式.(https://www.daowen.com)
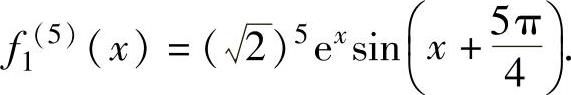
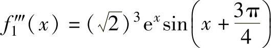
(1)f1(x)=exsinx,
,
,
同理可得
,
,
所以,f1(x)的带拉格朗日型余项的四阶麦克劳林公式为
,ξ是介于0与x之间的实数).
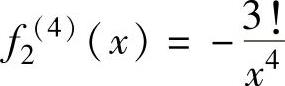
(2)由于f2(x)=lnx,
,
,
,
,
,
所以,f2(x)的按(x-2)的幂展开的带拉格朗日型余项的四阶泰勒公式为


(0<x<+∞,ξ是介于2与x之间的实数).
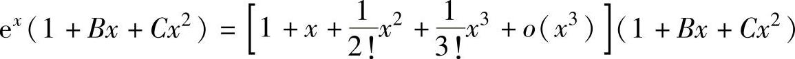
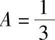
例1.15.2 试确定常数A,B,C的值,使得x→0时,ex(1+Bx+Cx2)=1+Ax+o(x3).
精解 只要写出ex(1+Bx+Cx2)的带佩亚诺型余项的三阶麦克劳林公式即可.
由于
,
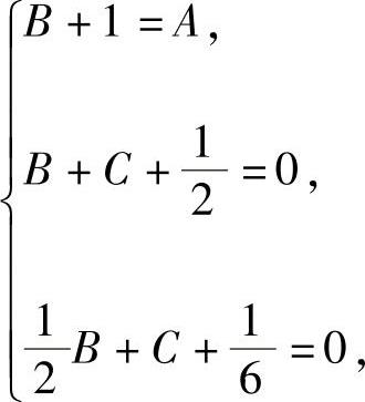
将它代入ex(1+Bx+Cx2)=1+Ax+o(x3)中并比较x的同次幂系数得

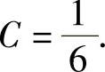
解此方程组得
,
,
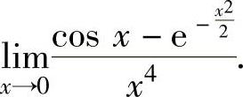
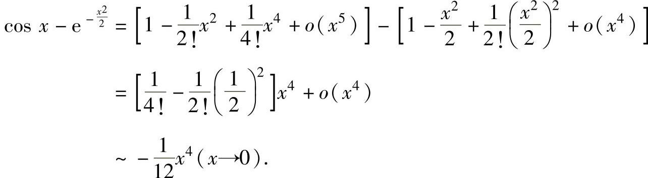
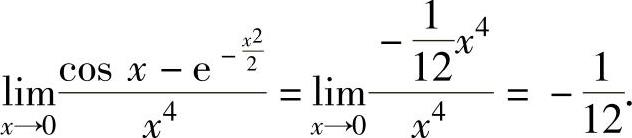
例1.15.3 求极限
精解 先写出cosx-e-x22的带佩亚诺型余项的四阶麦克劳林公式(因为函数的分母是x4,所以分子只需写出4阶麦克劳林公式即可),寻找等价无穷小,然后应用等价无穷小代替定理计算所给的极限.由于
所以,由等价无穷小代替定理知

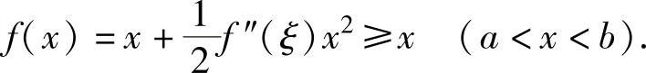
例1.15.4 设函数f(x)在包含原点的某个区间(a,b)内二阶可导,且
,f″(x)>0(a<x<b).证明:f(x)≥x(a<x<b).
精解 由于f(x)二阶可导,所以对于x∈(a,b),f(x)有带拉格朗日型余项的一阶麦克
劳林公式
(ξ是介于0与x之间的实数).(1)
由题设
及f(x)在点x=0处连续可得,f(0)=0,f′(0)=1.将它们代入式
(1)并利用f″(x)>0(a<x<b)得

注 当函数f(x)在点x0连续,且满足
时,有f(x0)=0,f′(x0)=A.应记
住这个结论.