函数微分的概念
【主要内容】
1.函数微分的定义
设函数y=f(x)在点x0的某个邻域内有定义.如果y在点x0处的增量
Δy=f(x0+Δx)-f(x0) (其中,Δx是自变量x在点x0处的增量)可表示为
Δy=AΔx+o(Δx)(其中,A与Δx无关,o(Δx)表示Δx→0时比Δx高阶的无穷小),则称y=f(x)在点x0处可微,称Δy的线性主部AΔx为y=f(x)在点x0处的微分,记为dy|x=x0(注意:函数y=f(x)在点x处的微分记为dy).
如果函数f(x)在区间I的每个点处都可微,则称f(x)在I上可微.
2.函数微分的性质
(1)函数y=f(x)在点x处可微的充分必要条件是y=f(x)在点x处可导,此时,dy=f′(x)dx,其中dx=Δx(即自变量微分与自变量增量相等).
(2)设函数y=f(u)可微,则不管u是自变量还是中间变量,都有
dy=f′(u)du.(微分形式不变性)
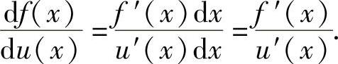
3.函数微分的应用
计算函数f(x)对函数u(x)的导数.
设f(x),u(x)都是可微函数,且u′(x)≠0,则

【典型例题】
例1.12.1 (单项选择题)设函数y=f(x)可导,且曲线y=f(x)在点(x0,y0)(其中,y0=f(x0))处的切线与直线y=2-x垂直,则当Δx→0时,dyx=x0是().(https://www.daowen.com)
A.与Δx同阶但非等价的无穷小 B.与Δx等价的无穷小
C.比Δx高阶的无穷小 D.比Δx低阶的无穷小
精解 由题设算出f′(x0)即可判断应选哪个选项.
由曲线y=f(x)在点(x0,y0)处的切线与直线y=2-x垂直可知

所以,dy|x=x0=f′(x0)Δx=Δx,即Δx→0时,dy|x=x0是与Δx等价的无穷小.
因此本题选B.
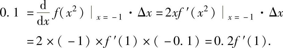
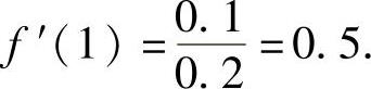
例1.12.2 设函数f(x)可导,且对函数y=f(x2),当自变量x在点x=-1处的增量Δx=-0.1时,相应的函数增量Δy的线性主部为0.1,求f′(1).
精解 设Δy为可导函数φ(x)在点x0处的增量,则它的线性主部为φ′(x0)Δx.
于是根据题设有

所以,
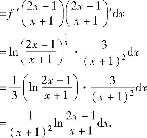
例1.12.3 设函数
,且
,求dy.
精解

例1.12.4 设函数y=y(x)是由方程x2y-e2y=sin(xy)确定,求dy.精解 利用微分形式不变性,对所给方程两边求微分得d(x2y)-de2y=dsin(xy),
即2xydx+x2dy-2e2ydy=cos(xy)(ydx+xdy).
合并同类项得[x2-2e2y-xcos(xy)]dy=[ycos(xy)-2xy]dx,所以,