十六、洛必达法则
【主要内容】
1.
型未定式极限的洛必达法则
设
,则称
型未定式极限,这里的x0可以换成x0-,
x0+,∞,-∞及+∞.
型未定式极限的洛必达法则(以x→x0情形为例)是:
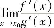
设函数f(x),g(x)在点x0的某个去心邻域内可导,且g′(x)≠0.如果
,且
存在或为无穷大,则
注 (ⅰ)对
型未定式极限
在使用洛必达法则之前应尽量进行化简,如利用极
限运算法则算出其中非未定式部分的极限,对f(x)或g(x)作等价无穷小代替等.
(ⅱ)如果
化简后仍是
型未定式极限,记为
,则可考虑应用洛必达
法则.但是当f1(x)或g1(x)不易求导,或表达式比较复杂时,可将f1(x)或g1(x)按(x-x0)的幂展开成带佩亚诺型余项的泰勒公式,寻找f1(x)或g1(x)的在x→x0时的等价无穷
小,然后用等价无穷小代替算出
,即
2.
型未定式极限的洛必达法则
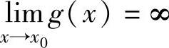
设
,则称
为
型未定式极限.这里的x→x0可以换成x0-,x0+,∞,-∞及+∞.
型未定式极限的洛必达法则(以x→x0情形为例)是:
设函数f(x),g(x)在点x0的某个去心邻域内可导,且g′(x)≠0.如果
,且
存在或为无穷大,则lim
x
注
型未定式极限计算方法
(ⅰ)应用
型洛必达法则计算;
(ⅱ)用初等代数运算或变量代换将
型未定式极限转换成
型未定式极限后再行计算.
3.其他未定式极限计算方法
其他未定式还有∞-∞,0·∞,00,1∞,∞0等型(这里∞-∞表示:当
,
时的未定式极限
,x0可以换成x0-,x0+,∞,-∞,+∞.
至于0·∞,00,1∞,∞0型的未定式极限也可以同样理解).∞-∞与0·∞型未定式极限,可以先通过初等代数运算或变量代换转换成
型或
型
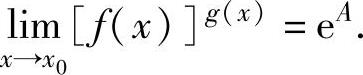
未定式极限,然后计算.00,1∞,∞0型未定式极限都是幂指函数的极限
(这里以x→x0为例),
由于
(https://www.daowen.com)
,
所以,只要算出0·∞型未定式极限
.如果它的值为A,则

【典型例题】
例1.16.1 求极限
精解 所给极限是
型未定式极限.

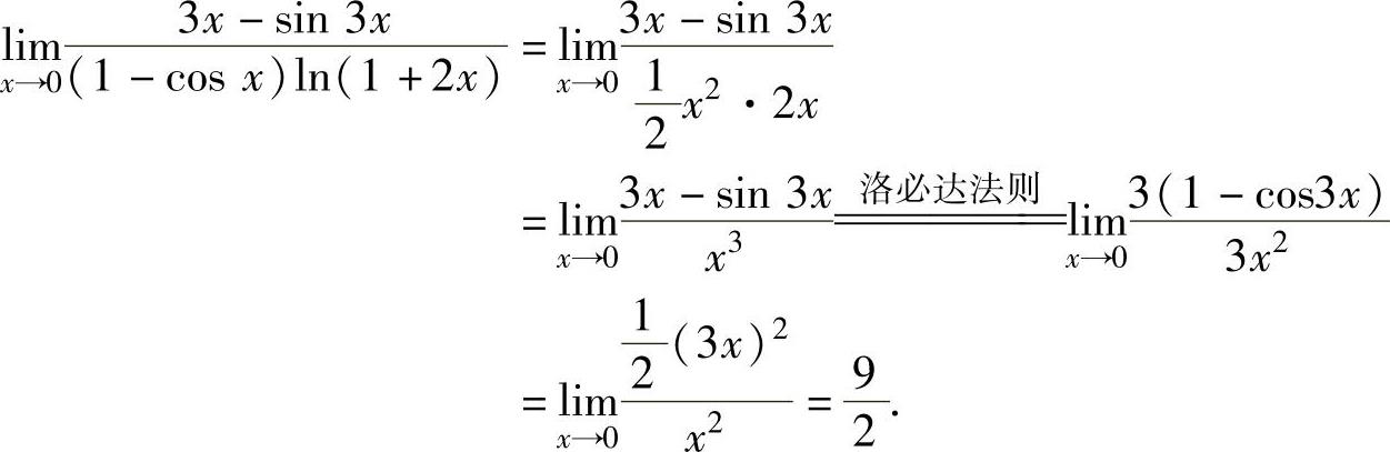
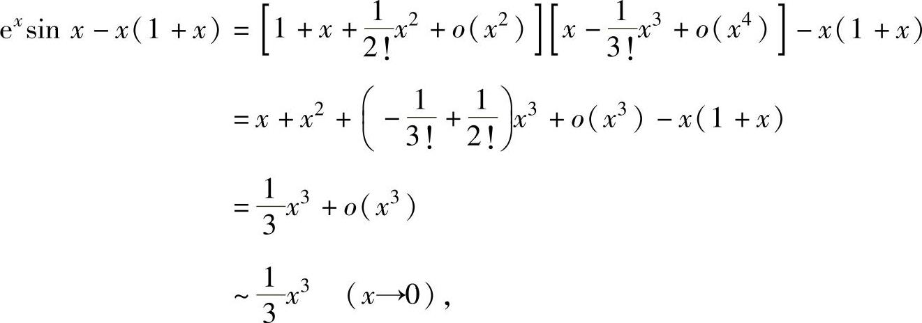
例1.16.2 求极限
精解 所给极限是
型未定式极限.

注 本题若用带佩亚诺型余项的麦克劳林公式算出exsinx-x(1+x)的等价无穷小,再利用等价无穷小代替定理计算更显快捷.

所以,
例1.16.3 求极限
精解 所给极限是∞-∞型未定式极限.
(00型未定式极限)
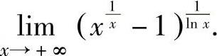
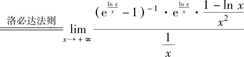
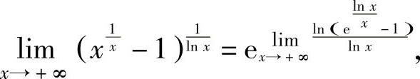
例1.16.4 求极限
精解 所给极限是1∞型未定式极限.
,(1)
其中,
(0·∞型未定式极限)
(00型未定式极限)
将它代入式(1)得

例1.16.5 求极限
精解 由于
,所以所给的极限是00型未定式极限.
(1)
其中
(∞∞型未定式极限)
(00型未定式极限)
将它代入式(1)得