高阶导数的计算
【主要内容】
1.高阶导数的概念
这里仅叙述二阶导数的定义,三阶、四阶、…、n阶导数同样可以定义.
如果函数f(x)的导函数f′(x)在点x0处可导,则称f(x)在点x0处二阶可导,且称f′(x)在点x0处的导数为f(x)在点x0处的二阶导数,记为f″(x0)或
,即f″(x0)=[f′(x)]′x=x0 或
如果函数f(x)在(a,b)的每一点x处都二阶可导,即f″(x)存在,则称f(x)在(a,b)内二阶可导;如果函数f(x)在(a,b)内二阶可导,且f′(x)在点x=a处的右导数和在点x=b处的左导数都存在,则称f(x)在[a,b]上二阶可导(注意此时,f″(a),f″(b)分别为f′(x)在点x=a处的右导数和在点x=b处的左导数).
2.n阶导数的运算法则
设函数u(x),v(x)都n阶可导,则
[u(x)±v(x)](n)=u(n)(x)±v(n)(x),

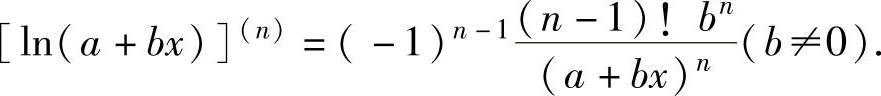
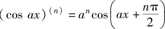
3.常用函数的n阶导数公式
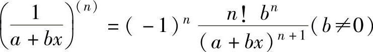
,
,
(ax)(n)=axlnna(a>0,且a≠1),特别地,(ex)(n)=ex,
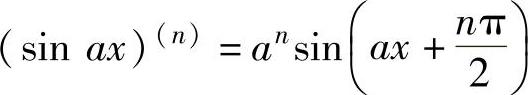
,
【典型例题】
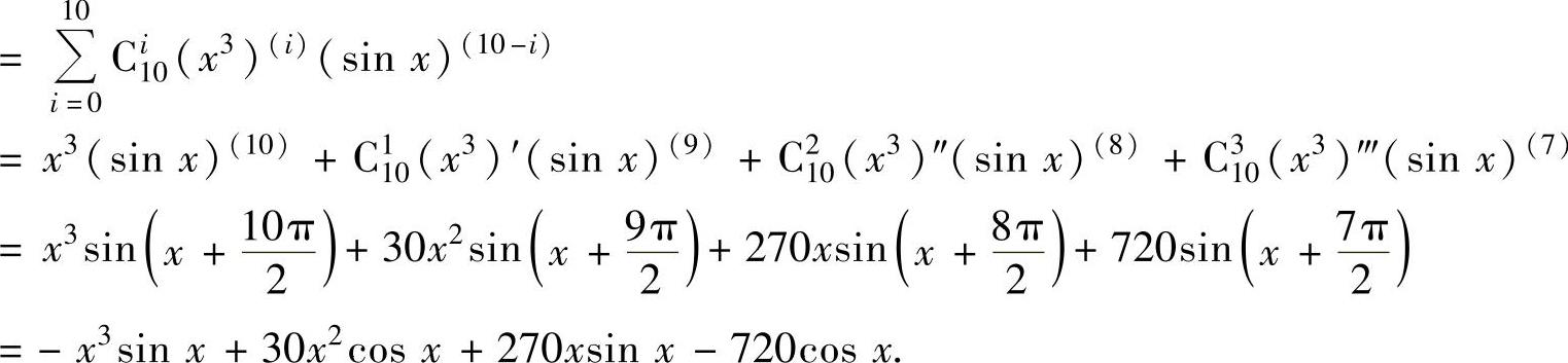
例1.11.1 设函数f(x)=x3sinx,求f (10)(x).
精解 由于(x3)′=3x2,(x3)″=6x,(x3)‴=6,(x3)(n)=0(n≥4),所以f (10)(x)=(x3sinx)(10)

例1.11.2 (单项选择题)已知函数f(x)具有任意阶导数,且f′(x)=[f(x)]2,则当n为大于2的整数时,f(x)的n阶导数f(n)(x)是().
A.n![f(x)]n+1 B.n[f(x)]n+1 C.[f(x)]2n D.n![f(x)]2n
精解 计算f′(x),f″(x),f(3)(x),…,根据它们的规律得到f(n)(x).
由于 f′(x)=[f(x)]2=1![f(x)]2,
f″(x)={[f(x)]2}′=2f(x)f′(x)=2f(x)[f(x)]2=2![f(x)]3,
f‴(x)={2![f(x)]3}′=3![f(x)]2[f(x)]2=3![f(x)]4,所以,依次类推得

因此本题选A.
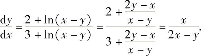
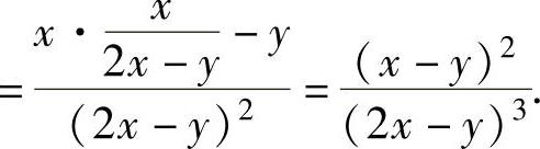
例1.11.3 设函数y=y(x)由方程2y-x=(x-y)ln(x-y)确定,求
精解 先由隐函数求导方法算出
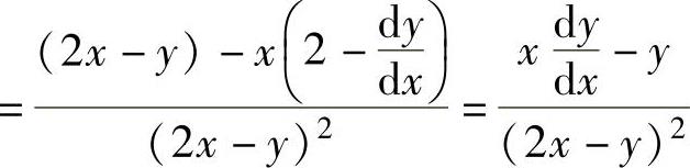
,然后计算
所给方程两边对x求导得
,(https://www.daowen.com)
所以,
于是


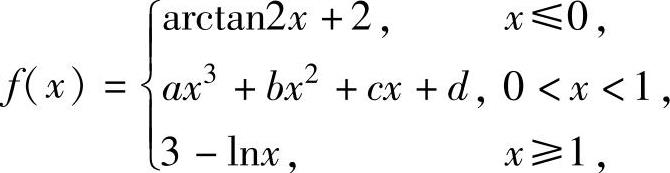
例1.11.4 设函数
(1)求使f(x)在点x=0,1处都可导的常数a,b,c,d;
(2)由(1)求得的a,b,c,d,求f″(x).
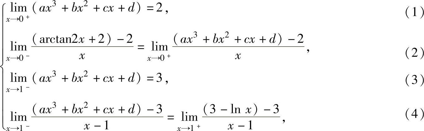
精解 (1)利用f(x)应在点x=0,1处都连续、可导列出关于a,b,c,d的方程组并解之,即可得到a,b,c,d的值,具体解答如下.
使f(x)在点x=0,1处可导,则a,b,c,d必须满足

即
由式(1)得d=2,将它代入式(2)得
,将c=d=2代入式(3)得
b=-1-a,(5)将c=d=2代入式(4)得

由于
a,
于是将它们代入式(6)得a=-1,代入式(5)得b=0.因此
a=-1,b=0,c=2,d=2.
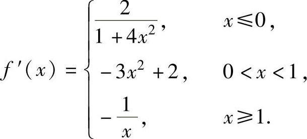
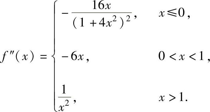
(2)将(1)计算得到的a,b,c,d的值代入f(x)得

它是可导函数,所以有

由此可知,x<0时,
时,f″(x)=(-3x2+
2)′=-6x;x>1时,
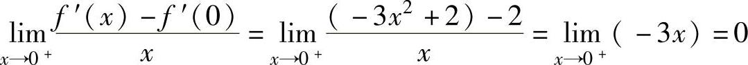
此外,由
,
知,f″(0)=0;
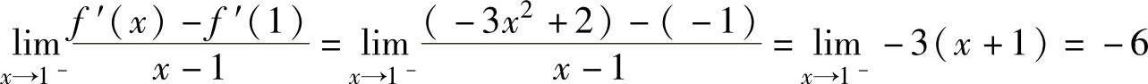
由
,

知,f″(1)不存在.因此
