拉格朗日中值定理和柯西中值定理及其应用
【主要内容】
1.拉格朗日中值定理
设函数f(x)在闭区间[a,b]上连续,在开区间(a,b)内可导,则存在ξ∈(a,b),使得
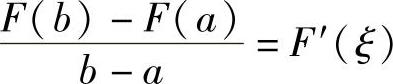
f(b)-f(a)=f′(ξ)(b-a).
2.柯西中值定理
设函数f(x)和g(x)都在闭区间[a,b]上连续,在开区间(a,b)内可导,且g′(x)≠0(x∈(a,b)),则存在ξ∈(a,b),使得

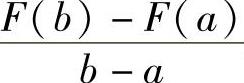
当函数f(x)在[a,b]上连续,在(a,b)内可导,但不易确定f(a)=f(b),或f(a)=f(b)根本不成立时要证明存在ξ∈(a,b),使得某个关于f′(ξ)的表达式成立,显然不适合
应用罗尔定理.但是,如果上述的某个关于f′(ξ)的表达式可以表示成
的形式(其中F(x)是辅助函数),或者可以表示成
的形式
(其中F(x)和G(x)都是辅助函数),则可分别考虑应用拉格朗日中值定理与柯西中值定理.
【典型例题】
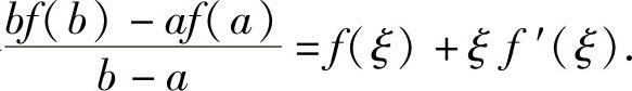
例1.14.1 设函数f(x)在[a,b]上连续,在(a,b)内可导.证明:存在ξ∈(a,b),使得
精解 由f(ξ)+ξf′(ξ)=[xf(x)]′x=ξ知,可取F(x)=xf(x)为辅助函数.显然F(x)在[a,b]上连续,在(a,b)内可导,所以由拉格朗日中值定理知,存在ξ∈(a,b),使得
,即
例1.14.2 设函数f(x)在[0,1]上连续,在(0,1)内可导,且f(0)=0,f(1)=1.证明:
(1)存在ξ∈(0,1),使得f(ξ)=1-ξ;
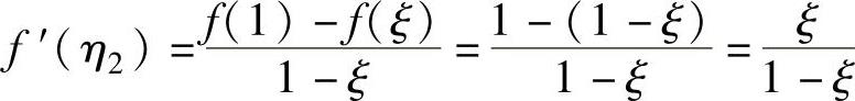
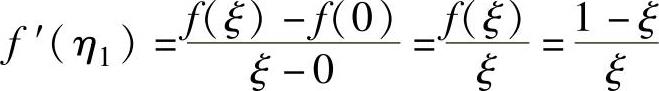
(2)存在两个不同点η1,η2∈(0,1),使得f′(η1)f′(η2)=1.
精解 (1)由于本小题的欲证等式中不出现f的导数,所以可考虑应用连续函数零点定理,具体如下:
将欲证等式中的ξ改为x得f(x)=1-x.于是作辅助函数
F(x)=f(x)+x-1.显然,它在[0,1]上连续,且F(0)F(1)=(-1)×1<0,所以由连续函数零点定理知,存在ξ∈(0,1),使得F(ξ)=0,即f(ξ)=1-ξ.
(2)ξ将[0,1]划分成两个小区间[0,ξ]和[ξ,1].显然,f(x)在这两个小区间上都满足拉格朗日中值定理的条件,所以由该定理知存在η1∈(0,ξ)和η2∈(ξ,1),使得
,
,
即存在两个不同点η1,η2∈(0,1),使得(https://www.daowen.com)

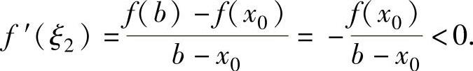
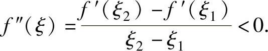
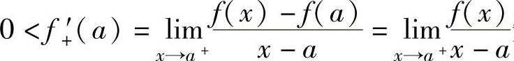
例1.14.3 设函数f(x)在[a,b]上连续,在(a,b)内二阶可导,且f(a)=f(b)=0,f+′(a)>0.证明:存在ξ∈(a,b),使得f″(ξ)<0.
精解 由于要证明的是存在ξ∈(a,b),使得f″(ξ)<0,而不是f″(ξ)=0,所以不宜使用罗尔定理,因此考虑应用拉格朗日中值定理.
由
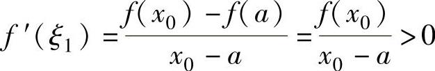
知,存在x0∈(a,b),使得f(x0)>0.
显然,f(x)在[a,x0]和[x0,b]上都满足拉格朗日中值定理条件,所以,存在ξ1∈(a,x0)和ξ2∈(x0,b),使得
,

由于f′(x)在[ξ1,ξ2]上满足拉格朗日中值定理条件,因此存在ξ∈(ξ1,ξ2)⊂(a,b),使得

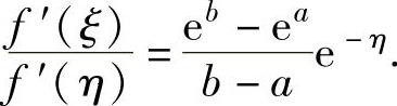
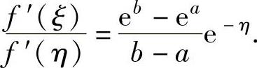
例1.14.4 设函数f(x)在[a,b]上连续,在(a,b)内可导且f′(x)≠0.证明:存在ξ,η∈(a,b),使得

精解 由于欲证的等式可以改写为

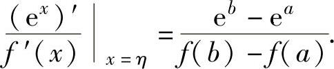
于是,由拉格朗日中值定理知,只要证明存在η∈(a,b),使得

显然,只要对ex和f(x)在[a,b]上使用柯西中值定理即可.具体证明如下:
由于ex和f(x)在[a,b]上连续,在(a,b)内可导且f′(x)≠0,所以由柯西中值定理知,存在η∈(a,b),使得

由于f(x)在[a,b]上满足拉格朗日中值定理条件,所以存在ξ∈(a,b),使得
f(b)-f(a)=f′(ξ)(b-a).(2)
将式(2)代入式(1)知,存在ξ,η∈(a,b),使得
