二阶常系数齐次线性微分方程
【主要内容】
形如y″+py′+qy=0 (其中,p,q是常数)(∗)的微分方程,称为二阶常系数齐次线性微分方程.如果y1(x),y2(x)是式(∗)的两个线性无关的特解
,则
y=C1y1(x)+C2y2(x)是式(∗)的通解.
称r2+pr+q=0为式(∗)的特征方程.
关于式(∗)的通解有以下结论:
(1)如果特征方程有两个不等的实根r1,r2,则式(∗)的通解为

(2)如果特征方程有两个相等的实根r1,r2(r1=r2),则式(∗)的通解为

(3)如果特征方程有一对共轭复根r1,2=α±iβ(β≠0),则式(∗)的通解为
y(x)=eαx(C1cosβx+C2sinβx).
注 对于n阶常系数齐次线性微分方程
y(n)+p1y(n-1)+p2y(n-2)+…+pn-1y′+pny=0的通解也有类似的结论.例如,当四阶常系数齐次线性微分方程
y(4)+p1y‴+p2y″+p3y′+p4y=0(∗∗)的特征方程r4+p1r3+p2r2+p3r+p4=0如有4个互不相同的实根r1,r2,r3,r4时,式(∗∗)的通解为

如有实根r1(二重)和r2(二重)时,式(∗∗)的通解为

如有不同实根r1,r2及一对共轭复根α±iβ(β≠0)时,式(∗∗)的通解为

如有二重共轭复根α±iβ(β≠0)时,式(∗∗)的通解为y(x)=eαx[(C1+C2x)cosβx+(C3+C4x)sinβx].
【典型例题】
例4.4.1 设y=(C1+C2x)e-2x+ex(C3cosx+C4sinx)为某个常系数齐次线性微分方程的通解,试写出该微分方程.
精解 所求的微分方程应是四阶的,它的特征根为-2(二重)以及一对共轭复根1±i,所以特征方程为(r+2)2(r-1-i)(r-1+i)=0,
即(r2+4r+4)[(r-1)2+1]=0.
化简整理后成为r4+2r3-2r2+8=0.所以所求的四阶常系数齐次线性微分方程为y(4)+2y‴-2y″+8=0.
例4.4.2 (单项选择题)设二阶常系数齐次线性微分方程y″+ay′+by=0
的每个解y(x)都满足limy(x)=0,则a,b的取值范围为().x→+∞
A.a>0,b<0 B.a<0,b<0(https://www.daowen.com)
C.a>0,b>0 D.a<0,b>0
精解 所给微分方程的特征方程为r2+ar+b=0.记它的两个特征根为r1,r2.由于每
个解y(x)都满足limx→+∞y(x)=0,故r1,r2的实部都为负数,从而a=-(r1+r2)>0,b=r1·r2>0.
因此本题选C.
例4.4.3 求微分方程cosx·y″-2sinx·y′+3cosx·y=0
的通解.
精解 将所给微分方程改写成(cosx·y″-2sinx·y′-cosx·y)+4cosx·y=0,
即[cosx·y″+2(cosx)′y′+(cosx)″y]+4cosx·y=0.(1)显然,式(1)左边方括号内为(cosx·y)″,所以式(1)为(cosx·y)″+4cosx·y=0,
故令u=cosx·y,则所给微分方程成为u″+4u=0(二阶常系数齐次线性微分方程).
它的特征方程r2+4=0的根为2i,-2i,所以通解为u=C1cos2x+C2sin2x.
从而所给的微分方程通解为cosx·y=C1cos2x+C2sin2x,即
注 当所给的方程是齐次线性微分方程,但不是常系数时,可考虑作适当的变量代换,将所给的微分方程转换成常系数的.这是解稍复杂二阶线性微分方程常用的方法.
例4.4.4 设函数y=y(x)(x>0)满足微分方程
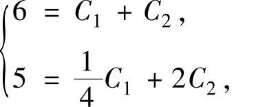
y″+y′-2y=0及条件y(0)=6,y(ln2)=5.求函数φ(x)=y(lnx)的表达式.
精解 算出满足条件y(0)=6,y(ln2)=5的特解y=y(x),即可得到φ(x)的表达式.所给的微分方程是二阶常系数齐次线性微分方程,它的特征方程r2+r-2=0的根为r=-2,1.所以该微分方程的通解为
y=C1e-2x+C2ex.(1)
利用y(0)=6,y(ln2)=5得
即C1=4,C2=2.
将它们代入式(1)得
y=4e-2x+2ex.
于是
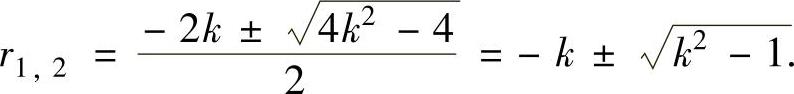
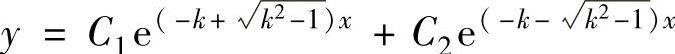
例4.4.5 求微分方程y″+2ky′+y=0(k是常数)的通解.
精解 所给微分方程是二阶常系数齐次线性微分方程,它的特征方程r2+2kr+1=0的根为

于是,当|k|>1时,r1,r2是两个不同的实数,此时所给微分方程的通解为
;
当k=1时,r1=r2=-k,此时所给微分方程的通解为
y=(C1+C2x)e-kx;
当k<1时,
是一对共轭复根,此时所给微
分方程的通解为
