变量可分离微分方程、齐次微分方程的求解
【主要内容】
1.微分方程的概念
含有自变量x,未知函数y及其导数(其中未知函数的导数必出现)的方程称为常微分方程(简称微分方程),其中,未知函数导数的最高阶数称为该微分方程的阶.
如果将函数y=φ(x)代入微分方程后成为恒等式,则称y=φ(x)是该微分方程的解;如果由Φ(x,y)=0确定的隐函数y=φ(x)是微分方程的解,则称Φ(x,y)=0是该微分方程的隐解.如果函数y=φ(x,C1,C2,…,Cn)(其中,C1,C2,…,Cn是n个独立的任意常数)是n阶微分方程的解,则称其为该n阶微分方程的通解.如果由初始条件确定了y=φ(x,C1,C2,…,Cn)中的C1,C2,…,Cn的值,则称其为该微分方程的特解.
一阶微分方程的一般形式是F(x,y,y′)=0(其中y′必定出现),标准形是y′=f(x,y).一阶微分方程是指变量可分离微分方程、齐次微分方程、一阶线性微分方程(包括伯努利方程).
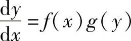
2.变量可分离微分方程形如
(其中,f(x),g(y)是已知函数)的微分方程称为变量可分离微分方
程,它的通解为

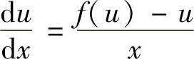
3.齐次微分方程
形如
(其中f(u)是已知函数)的微分方程称为齐次微分方程.
令
,则原微分方程成为
,它是以u为未知函数的变量可分离微分方程.
【典型例题】
例4.1.1 (单项选择题)微分方程y′sinx=ylny满足条件
的特解为( ).
A.
B.y=esinxC.
D.
精解 容易验证
,y=esinx都不满足所给微分方程,所以A,B两个选项都不能(https://www.daowen.com)
选,另外,
在点
处没有定义,所以也不能选C.
因此本题选D.
例4.1.2 求微分方程(ex+y-ex)dx+(ex+y+ey)dy=0的通解.
精解 所给微分方程可以改写成ey(ex+1)dy=-ex(ey-1)dx (变量可分离微分方程)
即
上式两边分别积分得
,即ln(ey-1)=-ln(ex+1)+lnC,
所以所给微分方程的通解为(ex+1)(ey-1)=C.
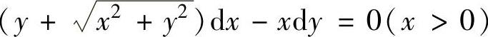
例4.1.3 求微分方程(lnx-lny-1)ydx+xdy=0的通解.
精解 所给微分方程可以改写为
(齐次微分方程)(1)令
,则式(1)成为
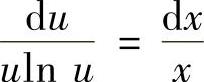
,即
(变量可分离微分方程).
它的通解为ln(lnu)=lnx+lnC,即u=eCx,从而原微分方程的通解为y=xeCx.
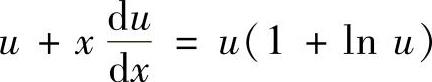
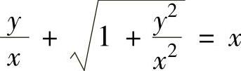
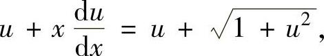
例4.1.4 求微分方程
的满足初始条件yx=1=0的特解.
精解 先算出所给微分方程的通解,再由初始条件确定通解中任意常数的值.
所给微分方程可以改写成
(齐次微分方程)(1)
令
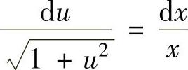
,则式(1)成为
即
(变量可分离微分方程).
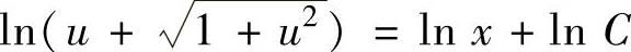
它的通解为
,即
于是原微分方程的通解为

由初始条件yx=1=0得式(2)中的C=1.所以所给微分方程满足初始条件yx=1=0的特解为
,即