一阶线性微分方程与伯努利方程
2026年01月14日
二
、一阶线性微分方程与伯努利方程
【主要内容】
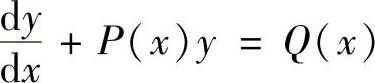
1.一阶线性微分方程
形如
(其中P(x),Q(x)是已知函数)的微分方程,称为一阶线性微
分方程,它的通解为
(其中的不定积分都取一个原函数).
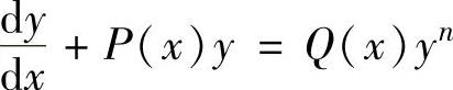
2.伯努利方程
形如
(n≠0,1,P(x),Q(x)都是已知函数)的微分方程,称为伯
努利方程.
令z=y1-n,伯努利方程转换成一阶线性微分方程

由式(1)的通解即可得到伯努利方程的通解.
【典型例题】(https://www.daowen.com)
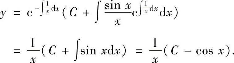
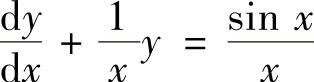
例4.2.1求微分方程
的通解.
精解 所给微分方程是一阶线性微分方程,它的通解为

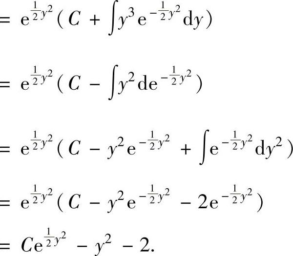
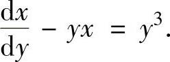
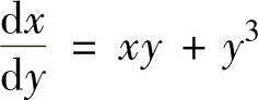
例4.2.2 求微分方程
的通解.
精解 所给的微分方程既不是一阶线性微分方程,又不是变量可分离微分方程和齐次微分方程,但是,如果把y看做自变量,x看做未知函数,则这个微分方程成为
,即
(一阶线性微分方程)
它的通解为


注 当所给的一阶微分方程y′=f(x,y)不是变量可分离微分方程、齐次微分方程、一阶线性微分方程、伯努利方程时,可以考虑交换自变量x与未知函数y,即将x作为未知函数,将y作为自变量.
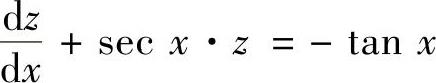
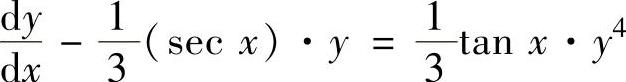
例4.2.3 求微分方程3y′-ysecx=y4tanx的通解.
精解 由于所给微分方程可改写为
(n=4的伯努利方程).(1)令z=y1-4=y-3,则式(1)成为
(一阶线性微分方程)它的通解为
