二阶常系数非齐次线性微分方程
【主要内容】
形如
y″+py′+qy=f(x)(∗)(其中p,q是常数,f(x)是已知函数,且不恒为零)的微分方程,称为二阶常系数非齐次线性微分方程,称
y″+py′+qy=0(∗∗)是式(∗)对应的齐次线性微分方程.
如果Y(x)是式(∗∗)的通解,y∗(x)是式(∗)的一个特解,则
y(x)=Y(x)+y∗(x)是式(∗)的通解.
关于二阶常系数非齐次线性微分方程(∗)的特解有以下结论:
(1)当f(x)=Pm(x)eλx(其中λ是常数,Pm(x)是关于x的m次已知多项式)时,式(∗)有特解
y∗=xkQm(x)eλx,其中,k按λ是方程y″+py′+qy=0的特征方程的零重根(即不是特征方程的根)、一重根、二重根对应地取0,1,2,Qm(x)是x的m次多项式,其系数可将y∗=xkQm(x)eλx代入式(∗)确定.
(2)当f(x)=eαx[Pl(x)cosβx+Pn(x)sinβx](其中α,β都是常数,Pl(x),Pn(x)分别是关于x的l次和n次已知多项式)时,式(∗)有特解
y∗=xk[Rm(1)(x)cosβx+Rm(2)(x)sinβx]eαx,其中,k按α+iβ是方程y″+py′+qy=0的特征方程的零重根、一重根对应地取0,1,Rm(1)(x),Rm(2)(x)都是关于x的m(m=max{l,n})次多项式,它们的系数可将y∗=xk[Rm(1)(x)cosβx+Rm(2)(x)sinβx]eαx代入式(∗)确定.
【典型例题】
例4.5.1 (单项选择题)函数y=C1ex+C2e-2x+xex满足的一个微分方程为().
A.y″-y′-2y=3xex B.y″-y′-2y=3ex
C.y″+y′-2y=3xexD.y″+y′-2y=3ex
精解 y应是常系数齐次线性微分方程
y″+p1y′+p2y=f(x)(1)的通解,其中C1ex+C2e-2x是y″+p1y′+p2y=0的通解,所以它的特征方程有根r=1,-2,于是p1=-(1-2)=1,p2=1×(-2)=-2.将它们代入式(1)得
y″+y′-2y=f(x).(2)
由于xex是式(2)的特解,所以
f(x)=(xex)″+(xex)′-2(xex)=(x+2)ex+(x+1)ex-2xex=3ex.
因此本题选D.
例4.5.2 设二阶常系数齐次线性微分方程y″+ay′+by=0的通解为y=(C1+C2x)ex,求二阶常系数非齐次线性微分方程y″+ay′+by=x满足初始条件y(0)=2,y′(0)=0的特解.
精解 由于
y″+ay′+by=0(1)的通解为(C1+C2x)ex,所以式(1)的特征方程r2+ar+b=0有根r=1(二重),从而a=-(1+1)=-2,b=1×1=1.因此y″+ay′+by=x为
y″-2y′+y=x.(2)
式(2)有特解A+Bx,将它代入式(2)得
-2B+A+Bx=x.
于是有
即A=2,B=1,所以方程(2)有特解2+x.从而式(2)的通解为
y=(C1+C2x)ex+2+x,(3)
并且y′=(C1+C2+C2x)ex+1.(4)
将y(0)=2,y′(0)=0代入式(3)、式(4)得
{即C1=0,C2=-1.,
将它们代入式(3)得所求微分方程的特解为
y=-xex+2+x=x(1-ex)+2.
例4.5.3 已知y1=xex+e2x,y2=xex+e-x,y3=xex+e2x-e-x是某非齐次线性微分方程的三个解,求此微分方程.
精解 设所求的非齐次线性微分方程为(https://www.daowen.com)
y″+p1y′+p2y=f(x)(其中p1,p2为常数),(1)则y1-y3=e-x,(y1-y2)+(y1-y3)=e2x都是式(1)对应的齐次线性微分方程
y″+p1y′+p2y=0(2)的解,从而式(2)的特征方程
r2+p1r+p2=0有根r=-1,2,所以p1=-(-1+2)=-1,p2=(-1)×2=-2.将它们代入式(1)得
y″-y′-2y=f(x).(3)
由于y1是式(3)的解,其中e2x是对应的齐次线性微分方程的特解,所以xex是式(3)的特解,从而
f(x)=(xex)″-(xex)′-2xex
=(x+2)ex-(x+1)ex-2xex=(1-2x)ex.将它代入式(3)得所求的微分方程为
y″-y′-2y=(1-2x)ex.
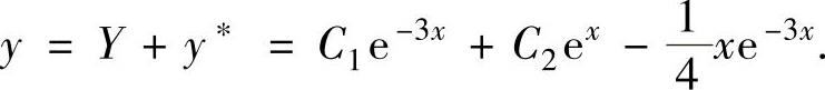
例4.5.4 求微分方程y″+2y′-3y=e-3x的通解.
精解 所给的微分方程
y″+2y′-3y=e-3x(1)是二阶常系数非齐次线性微分方程,它对应的齐次线性微分方程
y″+2y′-3y=0(2)的特征方程r2+2r-3=0的根为r=-3,1,所以式(2)的通解为
Y=C1e-3x+C2ex.
此外,式(1)有特解
y∗=Axe-3x.(3)将它代入式(1)得
(Axe-3x)″+2(Axe-3x)′-3(Axe-3x)=e-3x,
即 A(-6+9x)e-3x+2A(1-3x)e-3x-3Axe-3x=e-3x.
化简后得-4A=1,即
将它代入式(3)得
因此,式(1)的通解为

例4.5.5 求微分方程y″+y=x+cosx的通解.
精解 所给的微分方程
y″+y=x+cosx(1)是二阶常系数非齐次线性微分方程,它对应的齐次线性微分方程为
y″+y=0,(2)其特征方程r2+1=0的特征根为i,-i,所以式(2)的通解为
Y=C1cosx+C2sinx.
此外,式(1)有特解
y∗=a0+a1x+x(bcosx+csinx).(3)(注意:由于y″+y=x应有特解a0+a1x,y″+y=cosx应有特解x(bcosx+csinx),所以y″+y=x+cosx有特解a0+a1x+x(bcosx+csinx)).
将式(3)代入式(1)得
[a0+a1x+x(bcosx+csinx)]″+[a0+a1x+x(bcosx+csinx)]=x+cosx,即[2ccosx-2bsinx+x(-bcosx-csinx)]+[a0+a1x+x(bcosx+csinx)]=x+cosx,化简后成为
a0+a1x+2ccosx-2bsinx=x+cosx,
由此得到

将它们代入式(3)得

因此,式(1)的通解为
