一阶常系数线性差分方程
【主要内容】
设a是非零常数,f(t)是已知函数,则称yt+1+ayt=f(t)(t=0,1,2,…)(∗)
(这里yt=φ(t)是未知函数)为一阶常系数线性差分方程.当自由项f(t)≡0时,式(∗)成为yt+1+ayt=0(t=0,1,2,…).
上式就是式(∗)对应的一阶常系数齐次线性差分方程.(∗∗)
如果函数yt=φ(t)代入式(∗)或(式(∗∗)),使之对t=0,1,2,…成为恒等式,则称yt=φ(t)是式(∗)或(∗∗)的解.式(∗)(或(∗∗))的包含有一个任意常数的解,称为式(∗)(或(∗∗))的通解;当通解中的任意常数被初始条件y0=A确定时的解,称为特解.
式(∗)的通解为
,其中
是式(∗∗)的通解,yt∗是式(∗)的特解.
1.一阶常系数齐次线性差分方程的通解
(其中C是任意常数).
2.一阶常系数非齐次线性差分方程的特解
(1)当f(t)=dt·Pn(t)(其中Pn(t)是已知的n次多项式,d是非零常数)时,式(∗)有特解
yt∗=tk·dtQn(t).其中,k=0,a+d≠0,
{1,a+d=0,Qn(t)是待定的n次多项式,它的系数可通过将yt∗代入式(∗)确定.
(2)当f(t)=b1cosωt+b2sinωt(其中ω≠0,且b1,b2是不同时为零的常数)时,式(∗)有特解
yt∗=tk(αcosωt+βsinωt),
其中,
,α,β为待定常数,可将yt∗代入式(∗)确
定.
注设
和
分别是一阶常系数非齐次线性差分方程yt+1+ayt=f1(t)和yt+1+ayt=
f2(t)的特解,则
是yt+1+ayt=f1(t)+f2(t)的特解.
【典型例题】
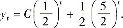
例4.7.1 求差分方程
的通解.
精解 所给差分方程是一阶常系数非齐次线性差分方程,它对应的齐次线性差分方程为

(https://www.daowen.com)
其通解为
而所给的差分方程应有形如

的特解.将它代入所给的差分方程得
,即
将它代入式(1)得
于是所给的差分方程的通解为

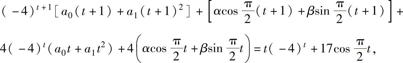
例4.7.2 求差分方程
满足y0=1的特解.
精解 所给差分方程是一阶常系数非齐次线性差分方程,它对应的齐次线性差分方程为
yt+1+4yt=0,
其通解为
,而所给的差分方程应有形如

(1)的特解,将它代入所给的差分方程得

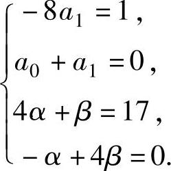
比较上式两边t的同次幂的系数及
,
的系数得

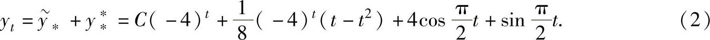
解此方程组得
,
,α=4,β=1.将它代入式(1)得

因此,所给差分方程的通解为

在式(2)中令t=0,并将y0=1代入得1=C+4,即C=-3.
于是所求的特解为